Le Guide pour bien débuter la LAS : Ici

Tutoriel Forum : Ici

Planning des Séances Tutorat et EB : ICI !
Errata : Séances Tutorat et EB, Annatuts, Ronéos
Centres de Téléchargement : ICI !
Réponses des Profs : ICI !
Annales : Achat, Corrections Officieuses
Annatuts : 2025-2026, Sommaire
MCC 25/26 : ICI
Candidature MMOPK : ICI
Terminale Santé : ICI

RÉSULTATS EB 5 : Ici

Newsletter : ICI


Ronéo 4 p.4

Règles du forum
Utilisez la fonction recherche (en haut à droite) avant d'ouvrir un nouveau sujet.
Soyez respectueux, et pour faciliter le travail des tuteurs, ne posez qu'une question par sujet puis passez-le en résolu après avoir reçu votre réponse.

Ronéo 4 p.4

Messagepar Emmacarena » 03 Nov 2017, 15:40

Coucouu,
Merci pour cette superbe ronéo !
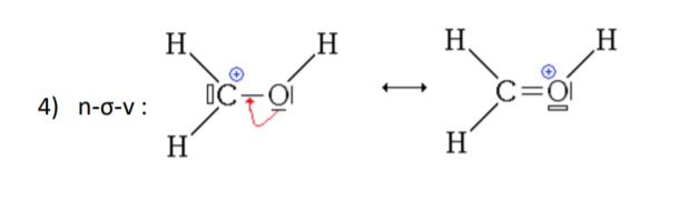
Pour le deuxième exemple de cette page on nous dit que l'oxygène devient chargé + mais qu'il n'a pas de case vacante :/ Ca me pose un problème car je ne comprends pas alors quand ce départ d'électron lors d'une mésomérie déclenche l'apparition d'une case vacante ? Merciii
VP Ronéo BDE Carabins Ex Machina 2019/2020

Tutrice de Biostat'2018/2019
Avatar de l’utilisateur
Emmacarena
Tut' Biostat
Tut' Biostat
 
Messages: 1192
Inscription: 12 Aoû 2017, 18:18

Re: Ronéo 4 p.4

Messagepar Emmacarena » 03 Nov 2017, 15:47

exemple.jpg
exemple.jpg (11.64 Kio) Vu 57 fois

Je vous mets cet exemple de votre fiche car pour moi je vois pas pourquoi dans ce cas on la met et dans le cas de la ronéo non :/
VP Ronéo BDE Carabins Ex Machina 2019/2020

Tutrice de Biostat'2018/2019
Avatar de l’utilisateur
Emmacarena
Tut' Biostat
Tut' Biostat
 
Messages: 1192
Inscription: 12 Aoû 2017, 18:18

Re: Ronéo 4 p.4

Messagepar ADesox » 06 Nov 2017, 10:28

Coucou !

Je sais pas pourquoi sur l'exemple de la fiche on voit une case vacante, c'est peut etre pour signaler que l'O perd son DNL mais il n'est pas supposé pour autant prendre une case vacante, c'est une erreur de la fiche ! bien trouvée !

La bonne version est donc celle du cours !

En fait, l'apparition ou non d'une case vacnate dépend de la structure électronique de l'atome en question ;)

C'est bon pour toi ? Bon courage !
:alien: TUTEUR ORGA 2017-2018 :alien:

Passez vos postes en "résolu" quand c'est bon pour vous siouplait :clown:

Du concentré de motivation en moins de 4 mn juste ici :)

"Être malade coûte cher, heureusement, mourir c'est gratuit" - Le Chat
"Être con au milieu d'un tas de cons encore plus cons ne fait pas paraître moins con" - Le Chat
Avatar de l’utilisateur
ADesox
Carabin Geek
 
Messages: 602
Inscription: 16 Aoû 2016, 21:26

Re: Ronéo 4 p.4

Messagepar Emmacarena » 06 Nov 2017, 11:07

Oki je comprends mieux :)
Merci !!
VP Ronéo BDE Carabins Ex Machina 2019/2020

Tutrice de Biostat'2018/2019
Avatar de l’utilisateur
Emmacarena
Tut' Biostat
Tut' Biostat
 
Messages: 1192
Inscription: 12 Aoû 2017, 18:18


Retourner vers Cours



Qui est en ligne

Utilisateurs parcourant ce forum: Aucun utilisateur enregistré et 0 invités