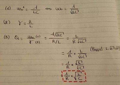
Dans l'exemple du résonateur, je n'arrive pas à retrouver Q =(1/R ).racine (L/C)
Qqun pourrait me détailler le raisonnement svp?
Merci d'avance








#teamcarbocationstabiliséepareffetdonneurs
Retourner vers Physique classique
Utilisateurs parcourant ce forum: Aucun utilisateur enregistré et 0 invités