par azerty2.0 » 07 Déc 2017, 10:20
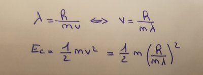
Salut alors voila pr l’item c qcms 10 de la sdr j’ai fait un truc je voulais savoir si mon resonement pouvais marcher ? Meme si la reponse que j’ai obtenue n’ai pas la bonne .. ( je pense que ćest par rapport au v^2)
- Fichiers joints
-
