Le Guide pour bien débuter la LAS : Ici

Tutoriel Forum : Ici

Planning des Séances Tutorat et EB : ICI !
Errata : Séances Tutorat et EB, Annatuts, Ronéos
Centres de Téléchargement : ICI !
Réponses des Profs : ICI !
Annales : Achat, Corrections Officieuses
Annatuts : 2025-2026, Sommaire
MCC 25/26 : ICI
Candidature MMOPK : ICI
Terminale Santé : ICI

INSCRIPTIONS ATELIERS ORAUX : Ici

SUJETS EB SEMESTRE 2 : Ici

Newsletter : ICI


Big DM QCM 2 interférences

Règles du forum
Utilisez la fonction recherche (en haut à droite) avant d'ouvrir un nouveau sujet.
Soyez respectueux, et pour faciliter le travail des tuteurs, ne posez qu'une question par sujet puis passez-le en résolu après avoir reçu votre réponse.

Big DM QCM 2 interférences

Messagepar melilow » 16 Déc 2017, 16:35

Holà !! :)

Le post concernant ce qcm a été fermé du coup j'en ouvre un autre : :D :

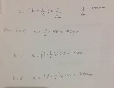
Je n'arrive toujours pas tomber sur 1,10 um :roll:

IMG_5672.JPG
Avatar de l’utilisateur
melilow
Carabin addicted
 
Messages: 1026
Inscription: 10 Sep 2016, 08:56
Localisation: Dans l'espace....

Re: Big DM QCM 2 interférences

Messagepar Kro » 16 Déc 2017, 18:06

Coucou :wink2:
Alors ta formule de base est bonne, maintenant essaies avec k=6 ça devrait marcher !!
PS: dans ce cas la k ne peut en AUCUN cas être égal à 0 sinon tu aurais une différence de marche négative ce qui est hyper pas normal :(
<3 Tutrice de PHYSIQUE 2017-2018 <3



"Life was like a box of chocolates.You never know what you’re gonna get"
Avatar de l’utilisateur
Kro
Tut' Biophy/Physique
Tut' Biophy/Physique
 
Messages: 644
Inscription: 02 Aoû 2016, 22:11

Re: Big DM QCM 2 interférences

Messagepar melilow » 16 Déc 2017, 19:02

Ah oui fainéante comme je suis, je ne suis pas allée jusqu'à k = 6 :lol: :lol:

Super, merci beaucoup :bye:
Avatar de l’utilisateur
melilow
Carabin addicted
 
Messages: 1026
Inscription: 10 Sep 2016, 08:56
Localisation: Dans l'espace....


Retourner vers QCMs



Qui est en ligne

Utilisateurs parcourant ce forum: Aucun utilisateur enregistré et 0 invités