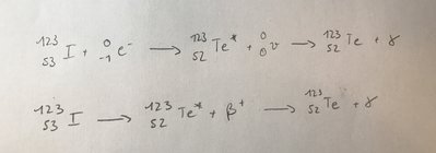
Alors en fait j'aimerais savoir comment on fait pour reconnaitre dans un qcm comme celui ci, si j'ai affaire à la première désintégration que j'ai écrite ou a la seconde?
Merciii


Utilisateurs parcourant ce forum: Aucun utilisateur enregistré et 1 invité