Le Guide pour bien débuter la LAS : Ici

Tutoriel Forum : Ici

Planning des Séances Tutorat et EB : ICI !
Errata : Séances Tutorat et EB, Annatuts, Ronéos
Centres de Téléchargement : ICI !
Réponses des Profs : ICI !
Annales : Achat, Corrections Officieuses
Annatuts : 2025-2026, Sommaire
MCC 25/26 : ICI
Candidature MMOPK : ICI
Terminale Santé : ICI

CORRECTION ST 4 : Ici

Newsletter : ICI


CC 2015 QCM 17

Règles du forum
Utilisez la fonction recherche (en haut à droite) avant d'ouvrir un nouveau sujet.
Soyez respectueux, et pour faciliter le travail des tuteurs, ne posez qu'une question par sujet puis passez-le en résolu après avoir reçu votre réponse.

CC 2015 QCM 17

Messagepar melilow » 09 Déc 2017, 19:17

Salut :cute:

J'ai un soucie pour ce QCM :oops:

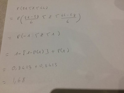
Je suis d'accord que la réponse est A quand j'utilise la méthode logique car 58-52 = 1 écart-type et 64-58 = 1 écart-type. Mais si je n'utilise pas cette méthode mais que je fais le calcul hyper long je ne retombe pas sur 67 %. Voila ce que ça me donnerai:

IMG_5645-2.JPG

IMG_5647.JPG
Dernière édition par melilow le 09 Déc 2017, 20:58, édité 1 fois.
Avatar de l’utilisateur
melilow
Carabin addicted
 
Messages: 1026
Inscription: 10 Sep 2016, 07:56
Localisation: Dans l'espace....

Re: CC 2015 QCM 17

Messagepar Pierroooo » 09 Déc 2017, 20:24

Coucou melilow !! :)

Est-ce que tu pourrais mettre le QCM en question dans ton post parce que je ne suis pas chez moi du coup je ne l'ai pas sous la main :/
Comme ça je pourrai t'aider !
Image
Une souris obèse

~~~~~~~~~~

Tuteur Biostat 2017/2018 à la retraite :(
Avatar de l’utilisateur
Pierroooo
Tut' Biostat
Tut' Biostat
 
Messages: 1954
Inscription: 18 Aoû 2016, 18:41
Localisation: Assis devant Fac Copie à attendre la prochaine ronéo

Re: CC 2015 QCM 17

Messagepar melilow » 09 Déc 2017, 20:59

Ah oui désolé j'ai oublié de mettre le QCM :lol:
Avatar de l’utilisateur
melilow
Carabin addicted
 
Messages: 1026
Inscription: 10 Sep 2016, 07:56
Localisation: Dans l'espace....

Re: CC 2015 QCM 17

Messagepar Pierroooo » 09 Déc 2017, 21:45

Recoucou,

Merci pour le QCM :p

Alors pour le calcul il faut faire P( -1 < Z < 1) = P(Z<1) - P(Z<-1) = P(Z<1) - (1-P(Z<1)) = 0,84 - (1 - 0,84) = 0,84 - 0,16 = 0,68.
Pour ce genre d'exercices je te conseille de t'aider de la courbe de la loi normale et de ne pas trop t'embêter avec les calcul ! Ici le schéma donnerait ça :
Untitled.png

J'espère que le schéma t'aide à comprendre comment j'ai trouvé le calcul ^^ Parce qu'il y a une petite erreur dans ton développement : P( -1 < Z < 1) =/= 1 - (1 - P(1)) + P(1)

Ça va mieux ?
Image
Une souris obèse

~~~~~~~~~~

Tuteur Biostat 2017/2018 à la retraite :(
Avatar de l’utilisateur
Pierroooo
Tut' Biostat
Tut' Biostat
 
Messages: 1954
Inscription: 18 Aoû 2016, 18:41
Localisation: Assis devant Fac Copie à attendre la prochaine ronéo

Re: CC 2015 QCM 17

Messagepar melilow » 09 Déc 2017, 22:15

J'ai fait 1 - (1 - P(1)) + P(1) car déjà Z> - 1 donc comme c'est plus grand il faut faire "1 - "et j'ai rajouté encore un "1 - " car on a un " - " devant le 1. Je sais pas si tu vois ce que je veux dire :oops:

En faisant ce raisonnement pour le QRU 2 de 2016 du CC ( viewtopic.php?f=1106&t=110696#p507895) je trouve aussi comme vous 0,60 donc je ne comprends pas trop pourquoi ça ne marche pas pour le QCM 17
IMG_5648.JPG
Avatar de l’utilisateur
melilow
Carabin addicted
 
Messages: 1026
Inscription: 10 Sep 2016, 07:56
Localisation: Dans l'espace....

Re: CC 2015 QCM 17

Messagepar Pierroooo » 09 Déc 2017, 22:47

Re,

Quand tu fais ton calcul "1 - (1 - P(1)) + P(1)", tu prends donc la probabilité d'être supérieur à -1 ET la probabilité d'être inférieur à 1 ! Du coup il y a une partie que tu comptes deux fois, c'est pour ça que ton calcul est faussé ;)
Untitlffed.png

Regarde encore un beau schéma en espérant qu'il t'aide à mieux comprendre :p

C'est mieux maintenant ? Autrement n'hésite pas j'expliquerai différemment !
Image
Une souris obèse

~~~~~~~~~~

Tuteur Biostat 2017/2018 à la retraite :(
Avatar de l’utilisateur
Pierroooo
Tut' Biostat
Tut' Biostat
 
Messages: 1954
Inscription: 18 Aoû 2016, 18:41
Localisation: Assis devant Fac Copie à attendre la prochaine ronéo

Re: CC 2015 QCM 17

Messagepar melilow » 10 Déc 2017, 11:57

Oui c'est parfait merci beaucoup :)

Bonne journée :bye:
Avatar de l’utilisateur
melilow
Carabin addicted
 
Messages: 1026
Inscription: 10 Sep 2016, 07:56
Localisation: Dans l'espace....


Retourner vers QCMs



Qui est en ligne

Utilisateurs parcourant ce forum: Aucun utilisateur enregistré et 0 invités

cron