Coucou!
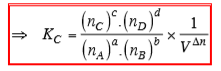
Dans la formule suivante :

- Capture.PNG (4.72 Kio) Vu 165 fois
Quand V augmente, Kc reste constant (par définition) donc les concentrations au numérateur doivent augmenter pour compenser , donc l'équilibre est déplacé vers les produits (sens direct).
Quand V diminue c'est l'inverse, les concentrations en bas augmentent pour garder le même Kc
Sinon l'autre moyen d'expliquer c'est de passer par PV=nRT :
Si V diminue , P augmente et la réaction se déplace vers le côté où il y a le moins de moles. Comme ici on est avec un Δn > 0, le côté avec le moins de moles correspond bien au sens indirect. Si V augmente c'est l'inverse
j'espère que cette explication convient!
Bon courage!!
