Salut !
Tout d'abord il faut savoir que l'azote du groupement nitro (donc NO2) n'est pas neutre,
il est chargé + (Mais attention car le groupement nitro est globalement neutre grâce à la charge - portée par un des oxygène)

- 7138.png (5.45 Kio) Vu 223 fois
C'est cette charge qui change tout ! Il est donc inductif attracteur et mésomère attracteur
Ta réflexion avec les -N substituée par deux -R était bien tentée sauf que les -R sont en général des chaines alkyl (donc que des carbones)
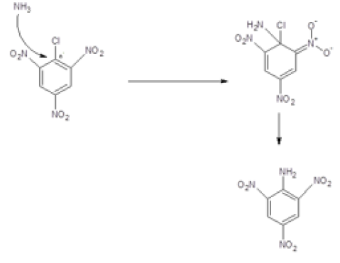
Ensuite j'imagine que tu parles de cette réaction ?

- post NO2.PNG (5.51 Kio) Vu 223 fois
Si c'est bien cette réaction

car c'est une SNAr et non une E/A !
Quant au terme "activé" c'est plus compliqué. En fait les NO2 vont être la pour "activer" la SNAr et qu'elle se produise plus facilement. C'est-à-dire que si on met seulement le chlorobenzène avec du NH3 et du chauffage il ne se passera rien donc on va activer l'halogène, c'est-à-dire "lui donner envie de partir" (pas très scientifique comme terme mais bon

)
Regarde le mécanisme de la réaction
Ce qui va être important ici c'est que le groupement Nitro est composé de plusieurs atomes chargés (+ ou -)
Du coup quand NH2 va venir se mettre sur le carbone du chlore alors il va pouvoir y avoir une délocalisation des électrons par mésomérie dans le groupement nitro, d'où l'importance qu'il soit en ortho et non en méta (ça ne marche pas en méta)
Voila j'espère t'avoir plus éclairée
