En fait je crois que tu confonds deux notions, la diapo 41 traite de la
tautomérie et non de la désamination (diapo 43), ta question manque de précision
En fait quand tu me parles de bases sous leur forme amine ou céto ce n'est pas pareil que lorsqu'on parle de désaminer une fonction amine en fonction cétone, ce sont deux réactions à distinguer
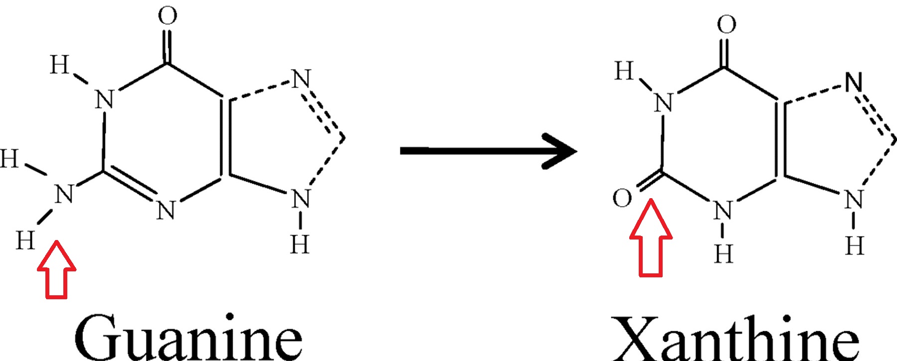
La question à se poser n'est pas "est-ce que A, C et G sont sous forme amine ?", tu dois juste savoir que ces trois bases possèdent une fonction amine qui va devenir une fonction cétone lors d'une désamination, pour transformer :
- L'Adénine en Hypoxanthine
- La Guanine en Xanthine
- La Cytosine en Uracile
Après sache aussi que le prof se fiche totalement des formules des molécules et du mécanisme de la réaction en elle-même, ça n'a aucun intérêt de vouloir trop pousser sa compréhension sur cette partie du cours, c'est loin d'être l'essentiel (
on n'est pas en orga dieu merci 
)