Un problème dans une ronéo? Tu es au bon endroit! Tu trouveras ici toutes les erratas des ronéos qui auront échappé à notre regard
Quelque chose te laisse perplexe dans une ronéo? Tu penses avoir trouvé une errata? Postes dans le cours concerné en indiquant dans le titre le numéro de la ronéo ainsi que la page où tu as un problème!
Ronéo 2 page 3 : Concernant le NB, remplacez la formule par :
)} <=> m.a=-\mu .m.g)
Ronéo 3 : 
page 4 : Les deux cadres ont été inversés dans la ronéo ! La bonne version est l'image ci-dessous :

page 8: Z = 0,5*0,62*(1.10-2)2 * (2π*50)
² ≈ 3 W
Ajouter le carré à l'équation !
Ronéo 4 (désolé pour les petites erreurs dans les démonstrations, j'ai fait du mieux que j'ai pu)

Page 3 : Concernant la formule d'Einstein, c'est h barre multiplié par oméga et non pas divisé.

Page 7 : "On peut donc écrire..." : il faut retirer le moins devant 1/2 x mv
2 et devant 1/2 x L
2/mr
2. Pour les curieux voici la démonstrations totalement complète :
Cliquer ici 
Page 9 : Première ligne : Dans les deux dernières égalités c'est h barré et pas h normal!

Page 11 : C'est delta y = a et pas delta x = a

Page 12 : QCM 2 Item B : "le courant atteint une valeur maximale lorsque la tension augmente" (et non pas le contre tension).
Ronéo 5 
Page 7 : Concernant le NB marquez : "Le paragraphe précédent concerne n2<n1, donc sinon, (si n1<n2) il y a toujours une solution à cette équation!"

Page 17 (Profondeur de champ) : "Si D>H alors PdC est infinie" remplacer le D par un P : "Si P>H" le prof a changé ses notations!
Ronéo 6 
Page 9 : Dans la démonstration à la troisième ligne on utilise delta = 2ne et non delta = 2ne+Lambda/2

Page 9 : concernant la formule encadrée pour les réseaux optiques : DeltaTêta = 2Lambda/Na

Page 11 : La formule c'est

Page 14 : Correction du QCM 2 : C'est 300<Formule!
https://www.carabinsnicois.fr/phpbb/viewtopic.php?f=1299&t=123442&p=564042#p564042Ronéo 8 
Page 7 : On utilise une lentille convergente pour l'hypermétropie et non une lentille divergente!
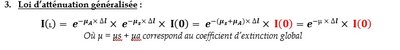
Ronéo 9 : Pages 5, rajouter I(0) dans la formule de la loi d'atténuation généralisée :
Dans le tableau recap, l'intensité lumineuse est en lumen / stéradian et non pas en Watt/stéradian