Salut salut
Alors enfaite c'est de la chimie o, on fait un petit récap'
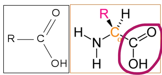
Un
carboxyle c'est le groupement
COOH que l'on retrouve donc dans un
AA.
Un
carbonyle c'est le groupement
C=O (on parle
d’aldéhyde en bout de chaine et de
cétone à l'intérieur d'une chaine) que l'on retrouve dans une
protéine. Enfaite lors de
l'amidation ( création de la liaison peptidique) on a
libération d'une molécule d'eau H20 qui correspond donc aux
deuxième oxygènes du groupement carboxyles de l'AA qui deviendra donc un
groupement carbonyles!
Donc enfaite c'est la même chose mais juste nommé différement! Comme on te parle de
liaison hydrogène dans une
protéine, on parle de groupement carbonyle !
Voila j'espere que c'est bon pour toi! Bon courage!
