je ne comprends pas le QCM suivant :
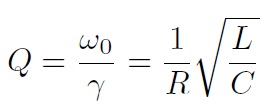
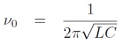
dans un circuit électrique RLC résonnant quelle(s) est (sont) la (les) variation(s) des composantes du circuit possible(s) pour doubler le facteur de qualité de cet oscillateur sans changer sa fréquence de résonance?
reponse: "doubler L et diviser C par 2 sans changer R"
merci


)