J'ai du mal avec ce QCM
Dans l'énoncé on nous dit que le cube est soumis à une force de frottement visqueux (donc sous-entendu qu'à cette force)
Donc on aurait dP/dt = Ftot
m*a = -B*v
a= (-B*v)/m
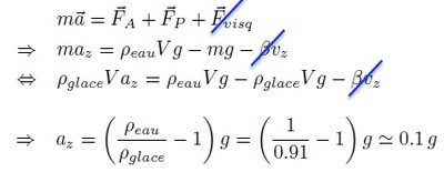
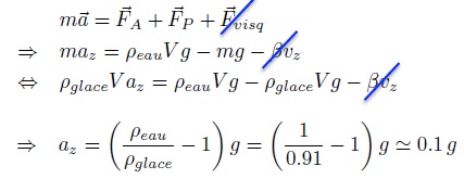
Hors dans la correction de l'item 2 ils nous disent que a= ( rho eau - rho glace)/ rho glace ??
Pouvez-vous m'expliquez comment on passe de "a= (-B*v)/m" à la formule de la correction svp ?
Et par rapport à l'item a, est-ce que vous pouvez me confirmer qu'il est faux parce que dans l'équation de la vitesse on a l'acceleration qui intervient ?
a= (-B*v)/m
v=(a*m) / -B
Et que du coup si a n'était pas dans l'équation, la vitesse serait bien constante ?
Merci à vous

