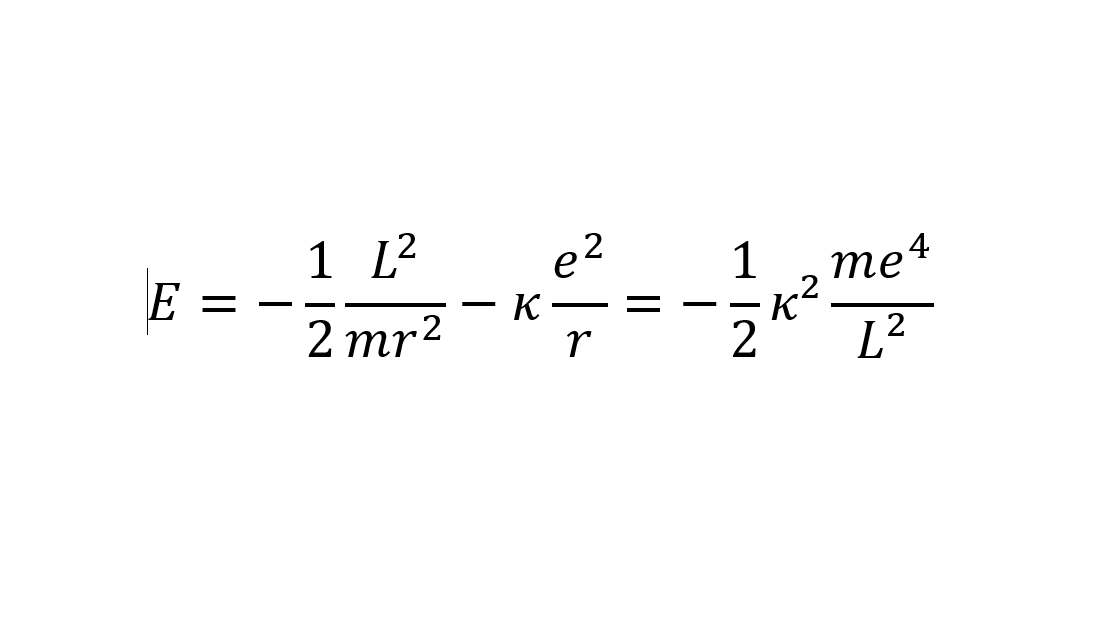
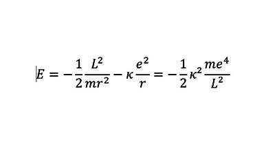
Petite question concernant cette démonstration de la dernière ronéo (très belle au passage
) :Je ne comprends pas comment on peut passer de la première égalité à la deuxième... Pourrais-je avoir une petite explication svp ?
Merci d'avance

) :






Retourner vers Physique quantique
Utilisateurs parcourant ce forum: Aucun utilisateur enregistré et 0 invités