salut
je vais te faire la démonstration du grossissement microscopique alors on s'accroche !

D'abord, par définition :

- Grossissement.jpg (2.03 Kio) Vu 89 fois
ici on a :

téta ' qui correspond à l'angle sous lequel on voit l'image à travers l'instrument

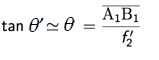
téta qui correspond à l'angle sous lequel on voit l'objet à l'oeil nu sous la distance minimum de vision distincte (correspond au punctum proximum)
Téta ' : Dans cette image je t'ai colorié les contours du triangle qui nous intéresse en rouge. Ensuite en utilisant la formule avec tan on trouve :

- Grossissement3.jpg (3.16 Kio) Vu 89 fois
en vu de l'approximation des angles petits, on dit que : tan(téta) = tétaEnsuite, on va tjrs poursuivre avec Thalès et faire apparaître un autre triangle en configuration papillon :
On va considérer que la distance 0A correspond à peu près à delta, donc tjrs avec Thalès :

- Grossissement5.jpg (2.93 Kio) Vu 89 fois
Maintenant que l'on a toutes ces formules, on va isoler A1B1 que l'on a trouvé avec la configuration papillon et le remplacer dans la première formule de téta' ce qui permet d'obtenir comme formule finale de téta' :

- Grossissement6.jpg (7.21 Kio) Vu 89 fois
Téta : Pour trouver téta c'est super simple, on va se baser sur ce triangle colorié en rouge :
que je t'ai zoomé et on va simplement refaire un tan :

- Grossissement7.jpg (14.87 Kio) Vu 89 fois
dmin correspond au punctum proximumDonc à ce stade, on a trouvé la formule de téta' et de téta, ça devient super simple, en reprenant la formule de départ :

- Grossissement.jpg (2.03 Kio) Vu 89 fois
et en remplaçant par les différentes formules de téta' et téta que l'on a trouvé, on retombe bien sur nos pattes avec :

- Grossissement 10.png (5.32 Kio) Vu 89 fois
C'est bon ?
