Le Guide pour bien débuter la LAS : Ici

Tutoriel Forum : Ici

Planning des Séances Tutorat et EB : ICI !
Errata : Séances Tutorat et EB, Annatuts, Ronéos
Centres de Téléchargement : ICI !
Réponses des Profs : ICI !
Annales : Achat, Corrections Officieuses
Annatuts : 2025-2026, Sommaire
MCC 25/26 : ICI
Candidature MMOPK : ICI
Terminale Santé : ICI

CORRECTION ST 4 : Ici

Newsletter : ICI


Qcm 2 tutlive

Règles du forum
Utilisez la fonction recherche (en haut à droite) avant d'ouvrir un nouveau sujet.
Soyez respectueux, et pour faciliter le travail des tuteurs, ne posez qu'une question par sujet puis passez-le en résolu après avoir reçu votre réponse.

Qcm 2 tutlive

Messagepar c.khl » 17 Nov 2018, 00:55

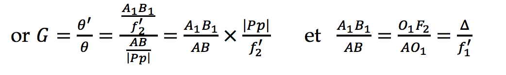
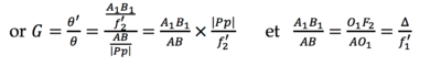
Salut, déjà merci beaucoup pour ce tut live, c'était vraiment cool! Ensuite j'ai une petite question à propos du deuxième qcm, vous utilisez la formule G(oculaire) = delta / f' mais où est ce qu'elle se trouve dans le cours, parce que je ne pensais pas qu'on pouvait l'utiliser sous cette forme.. Merci d'avance!
c.khl
Carabin addicted
 
Messages: 1564
Inscription: 26 Juin 2018, 08:01

Re: Qcm 2 tutlive

Messagepar F harb » 17 Nov 2018, 21:06

+1. Et aussi j'ai un petit problème dessus car en utilisant la formule du grossissement Pp/f1, je trouve 0,25/0,01 ce qui fait 25 comme grossissement ce qui est différent de 16; qu'est-ce qui cloche dans mon raisonnement??
F harb
Carabin addicted
 
Messages: 1292
Inscription: 17 Aoû 2017, 16:28

Re: Qcm 2 tutlive

Messagepar emslb » 18 Nov 2018, 11:14

+1 j'ai fait pareil que F harb je comprends pas
emslb
Carabin confirmé
 
Messages: 92
Inscription: 05 Mar 2018, 09:43

Re: Qcm 2 tutlive

Messagepar c.khl » 23 Nov 2018, 12:16

+1
c.khl
Carabin addicted
 
Messages: 1564
Inscription: 26 Juin 2018, 08:01

Re: Qcm 2 tutlive

Messagepar Markalpaga » 26 Nov 2018, 18:44

Salut!

Alors en fait j'ai dit ça parce qu'en cours le prof a différencié les deux à l'oral!

ObOc.png


En gros le calcul de A1B1/AB ça correspond à Delta/f1' correspond à l'objectif, du coup le reste à l'occulaire!

En vrai y aura jamais de questions dessus, c'était juste un petit point en plus!
:einstein: Tuteur de Physique 2018 - 2019 :einstein:


Pensez à passer vos posts en résolu!
Avatar de l’utilisateur
Markalpaga
Carabin No Life
 
Messages: 906
Inscription: 30 Aoû 2017, 15:06
Localisation: Valrose

Re: Qcm 2 tutlive

Messagepar F harb » 26 Nov 2018, 19:46

D'accord mais du coup notre raisonnement à "emlsb" et moi est toujours juste c'est ça?
F harb
Carabin addicted
 
Messages: 1292
Inscription: 17 Aoû 2017, 16:28

Re: Qcm 2 tutlive

Messagepar c.khl » 26 Nov 2018, 20:48

Yess merci! Je peux passer en résolu?
c.khl
Carabin addicted
 
Messages: 1564
Inscription: 26 Juin 2018, 08:01

Re: Qcm 2 tutlive

Messagepar F harb » 26 Nov 2018, 21:09

MDR c'est bon pour moi si tu arrives à répondre à ma question :lol:
F harb
Carabin addicted
 
Messages: 1292
Inscription: 17 Aoû 2017, 16:28

Re: Qcm 2 tutlive

Messagepar Markalpaga » 27 Nov 2018, 09:05

Fharb si le prof vous demande de calculer l'objectif et l'oculaire séparément, personnellement je pense qu'il vaut mieux utiliser mon raisonnement!

Si vous regardez le QCM 2 de la Ronéo 6 : Vous voyez bien que dans l'énoncé le prof donne le grossissement de l'oculaire en disant qu'il est égal à 15 et demande la distance focale de l'objectif, il les sépare donc bien!

Si tu voulais utiliser ton raisonnement, tu aurais multiplié ce grossissement par Pp/f'1 , et tu aurais obtenu une valeur totalement différente!

Donc faites quand même bien attention, ça vous coute pas grand chose de séparer la formule en deux :p
:einstein: Tuteur de Physique 2018 - 2019 :einstein:


Pensez à passer vos posts en résolu!
Avatar de l’utilisateur
Markalpaga
Carabin No Life
 
Messages: 906
Inscription: 30 Aoû 2017, 15:06
Localisation: Valrose

Re: Qcm 2 tutlive

Messagepar emslb » 27 Nov 2018, 10:09

Ça marche merciii c’est bon pour moi
emslb
Carabin confirmé
 
Messages: 92
Inscription: 05 Mar 2018, 09:43

Re: Qcm 2 tutlive

Messagepar Markalpaga » 27 Nov 2018, 10:15

Je rajouterai que je viens de poser la question au prof en face to face et il est totalement d’accord avec moi!
:einstein: Tuteur de Physique 2018 - 2019 :einstein:


Pensez à passer vos posts en résolu!
Avatar de l’utilisateur
Markalpaga
Carabin No Life
 
Messages: 906
Inscription: 30 Aoû 2017, 15:06
Localisation: Valrose

Re: Qcm 2 tutlive

Messagepar F harb » 27 Nov 2018, 11:46

C'est tout bon merci beaucoup!!! :D
F harb
Carabin addicted
 
Messages: 1292
Inscription: 17 Aoû 2017, 16:28


Retourner vers Optique géométrique



Qui est en ligne

Utilisateurs parcourant ce forum: Aucun utilisateur enregistré et 1 invité