Salut
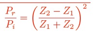
C'est tout bête, il faut reprendre la formule du cours :

- puissancess.jpg (6.91 Kio) Vu 299 fois
Ensuite, on nous dit que l'on veut comparer Z1 et Z2 avec Zpeau donc on fait :

(Z1 - Zpeau)²/ (Zpeau + Z1)² = 2% en remplaçant les valeurs de Z => réponse A

(Z2 - Zpeau)²/ (Zpeau + Z2)² = 11% en remplaçant les valeurs de Z => réponse B
Ensuite, par rapport à ta question Arsa2nice, je ne vois pas trop ce que tu veux dire, il faut simplement faire en sorte que Zx-Zy soit > 0 car un carré négatif ça n'existe pas, c'est pour ça que pour (Z1 - Zpeau)², Z1 - Zpeau >0 et pour (Z2 - Zpeau)², Z2 - Zpeau >0
et au dénominateur, on s'en fiche du sens puisque c'est une addition !
C'est bon pour vous ?
