Salut !
Je vais tout t'expliquer pour que ce soit OK pour toi !
D'abord on va simplement faire passer le I de l'autre côté :

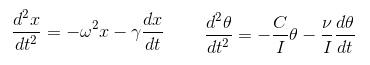
Si on reprend la formule du cours, tu vois qu'il y a une forte ressemblance entre les deux :

- Oscilla.jpg (11.32 Kio) Vu 88 fois
Pour marquer cette ressemblance, je t'ai placé les deux formules côtes à côtes et j'ai remplacé les formes mathématiques qui se ressemblent par des éclairs, des coeurs et des étoiles :

- Oscilla234.jpg (6.79 Kio) Vu 88 fois

- Oscilla23.jpg (10.09 Kio) Vu 88 fois
Donc en quelque sorte, on fait une analogie entre les deux formules tout bêtement :

Si on répond maintenant au QCM :
Item A : C'est faux, l'oscillateur est soumis à des forces de frottement visqueux (toujours par analogie avec la formule donnée en cours)
Item B : En effet, toujours en regardant l'équation, il y a bien des forces de frottements, c'est typiquement la forme d'une équation d'oscillateur amorti
Item C : 

<=>

<=>

Donc c'est FAUX
Item D : Tu sais que I=m.r²
donc :

Donc si tu doubles r, T double aussi!
C'est bon ?
