Le Guide pour bien débuter la LAS : Ici

Tutoriel Forum : Ici

Planning des Séances Tutorat et EB : ICI !
Errata : Séances Tutorat et EB, Annatuts, Ronéos
Centres de Téléchargement : ICI !
Réponses des Profs : ICI !
Annales : Achat, Corrections Officieuses
Annatuts : 2025-2026, Sommaire
MCC 25/26 : ICI
Candidature MMOPK : ICI
Terminale Santé : ICI

RÉSULTATS EB 5 : Ici

Newsletter : ICI


je beugle depuis 3HHH help

Règles du forum
Utilisez la fonction recherche (en haut à droite) avant d'ouvrir un nouveau sujet.
Soyez respectueux, et pour faciliter le travail des tuteurs, ne posez qu'une question par sujet puis passez-le en résolu après avoir reçu votre réponse.

je beugle depuis 3HHH help

Messagepar eloPACESSS » 11 Nov 2018, 10:40

hello , alors voila dans cette exercice je ne comprend pas pourquoi on considère que le coefficient B doit être divisé par deux pour calculer la pulsation propre :(
SI vous voulez bien aider un p1 en détresse je vous serais grandement reconnaissante :snowman: :snowman: :coeur: :coeur:
Fichiers joints
Capture d’écran 2018-11-11 à 10.31.02.png
aussi chiante que de la biocelle <3
eloPACESSS
Carabin Geek
 
Messages: 642
Inscription: 25 Aoû 2017, 06:00
Localisation: ou?? mais t pas la mais t ou????,

Re: je beugle depuis 3HHH help

Messagepar Zorro00 » 11 Nov 2018, 22:22

Salut ! oulala c'est un cris de détresse :lol:
Je sais comment répondre à ce QCM mais mets moi la correction ou dis moi d'où il vient pour que je sois sur de ma réponse ;P
CHEF TUT COM 2o19 / 2o20


Tutrice de physique 2o18 / 2o19
Avatar de l’utilisateur
Zorro00
Chef TuT'
Chef TuT'
 
Messages: 1104
Inscription: 16 Aoû 2016, 17:04
Localisation: référentiel terrestre

Re: je beugle depuis 3HHH help

Messagepar eloPACESSS » 12 Nov 2018, 08:27

c'est ce lambda sur 2 qui me perturbe :( merci bien
Fichiers joints
Capture d’écran 2018-11-12 à 08.26.30.png
aussi chiante que de la biocelle <3
eloPACESSS
Carabin Geek
 
Messages: 642
Inscription: 25 Aoû 2017, 06:00
Localisation: ou?? mais t pas la mais t ou????,

Re: je beugle depuis 3HHH help

Messagepar Zorro00 » 13 Nov 2018, 21:39

Je ne sais pas si quand tu parles de lambda tu parles de gamma en fait :lol:

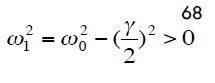
La formule pour trouver la pulsation du système à l'aide de la pulsation propre est celle-ci (c'est sur la diapo) :
pulsationpropre.jpg
pulsationpropre.jpg (5.38 Kio) Vu 84 fois


C'est pour ça que gamma est divisé par 2.
Dis moi si c'est bien ça que tu n'as pas compris !
CHEF TUT COM 2o19 / 2o20


Tutrice de physique 2o18 / 2o19
Avatar de l’utilisateur
Zorro00
Chef TuT'
Chef TuT'
 
Messages: 1104
Inscription: 16 Aoû 2016, 17:04
Localisation: référentiel terrestre

Re: je beugle depuis 3HHH help

Messagepar eloPACESSS » 14 Nov 2018, 08:04

oh mon dieu je suis trop désolé de vous avoir déranger j'avais pas vu cette formule :(
aussi chiante que de la biocelle <3
eloPACESSS
Carabin Geek
 
Messages: 642
Inscription: 25 Aoû 2017, 06:00
Localisation: ou?? mais t pas la mais t ou????,


Retourner vers QCMs



Qui est en ligne

Utilisateurs parcourant ce forum: Aucun utilisateur enregistré et 0 invités