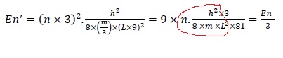
vu qu'on multiple n par 3, L par 9 et qu'on divise m par 3 pour moi ça ferait En' = En x (3x3x3)/(9x9) soit En'= (3/9)En
Et pas En'=En'/3
je me suis trompée quelque part?
Merci d'avance






Utilisateurs parcourant ce forum: Aucun utilisateur enregistré et 0 invités