Le Guide pour bien débuter la LAS : Ici

Tutoriel Forum : Ici

Planning des Séances Tutorat et EB : ICI !
Errata : Séances Tutorat et EB, Annatuts, Ronéos
Centres de Téléchargement : ICI !
Réponses des Profs : ICI !
Annales : Achat, Corrections Officieuses
Annatuts : 2025-2026, Sommaire
MCC 25/26 : ICI
Candidature MMOPK : ICI
Terminale Santé : ICI

CORRECTION ST 4 : Ici

Newsletter : ICI


Loi Normale centrée réduite

Règles du forum
Utilisez la fonction recherche (en haut à droite) avant d'ouvrir un nouveau sujet.
Soyez respectueux, et pour faciliter le travail des tuteurs, ne posez qu'une question par sujet puis passez-le en résolu après avoir reçu votre réponse.

Loi Normale centrée réduite

Messagepar QuentinC » 16 Sep 2018, 21:10

Salut,
Merci pour les fiches de la tut rentrée qui sont très bien faites !
J'ai eu aucun problème jusqu'à la toute fin de la fiche sur les lois de proba continues avec la Loi normale centrée réduite.

Je comprends le principe, mais je ne comprends pas la démonstration de l'exemple:

P(Y<4) = P( (Y-µ /sig) < (4-µ /sig) ) = P ( (Y-16 / 4) < (20-16 / 4 ) = P (Z<1).

Si comme l'énoncé nous le demande, on cherche P(Y<20), ne devrait-on pas avoir :
P(Y<20) = P( (Y-µ / sig) < (20-µ / sig) ) = P ( (Y-16 / 4) < (20-16 / 4 ) = P (Z<1)

Je ne comprends pas comment le 4-µ devient 16-4 ? ni pourquoi on met P(Y<4) en fait.

Et plus loin, je comprends bien qu'il y a une astuce à appliquer quand on cherche dans un problème un P(Z>x) pour aboutir à une forme P(Z<x) pour se référer à la table, mais il n'y a pas + d'exemple ou d'explication donc je ne vois pas du tout comment faire :(

Sauriez vous me mettre sur la voie pour que je saisisse ces 2 subtilités ?

Merci d'avance !
Dernière édition par QuentinC le 17 Sep 2018, 07:41, édité 1 fois.
QuentinC
Apprenti Carabin
 
Messages: 162
Inscription: 15 Aoû 2017, 07:23

Re: Loi Normale centrée réduite

Messagepar Emmacarena » 16 Sep 2018, 22:25

Hello à toi Quentin :curl-lip:


Mercii pour tes compliments sur nos fiches ça réchauffe nos petits cœurs :in-love:

:arrow: Alors tu as tout à fait raison il y a une errata qui s'est glissée dans cette démonstration : on aurait du avoir P(Y<20) et non pas P(Y<4) ! C'est pour ça que ça te semblait confus c'est juste que je me suis trompée :shame: Du coup bravo et merci d'avoir trouvé cette errata !

:arrow: Ensuite je vais t'expliquer ce que j'ai voulu dire quand j'ai dit qu'il fallait transformer un P(X>x) en P(X<x).
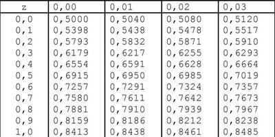
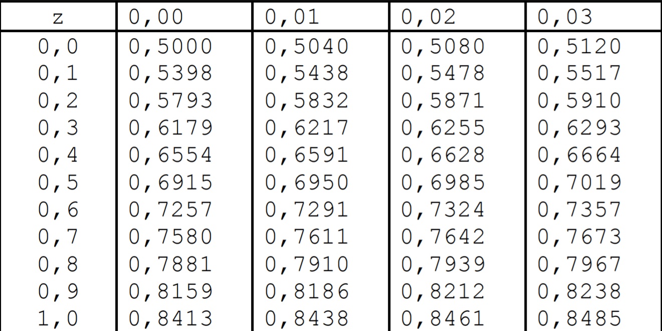
Je te remets une table de la loi normale centrée réduite pour l'exemple qui va suivre :
Table.jpg


En fait, dans la table de la loi normale centrée réduite, tu lis la probabilité de la forme P(X<x). Imaginons on te demande P(X>0,5). Là tu te retrouves embêté puisque tu peux pas le lire directement dans ta table ! Tu transformes alors P(X>0,5) en 1 - P(X<0,5) : là tu peux le lire dans la table et donc P(X>0,5) = 1 - 0,6915 = 0,3085 ! Et tu as ta réponse :embarrassed:

:arrow: Aussi, il faut transformer la façon dont tu exprimes la probabilité dans le cas où x est négatif. Exemple : P(X<-0,5). Hors P(X<-0,5) = P(X>0,5) par symétrie de la loi ormale centre réduite autour de 0 :curl-lip: Du coup comme P(X>0,5) = 1 - P(X<0,5), P(X<-0,5) = 1 - P(X<0,5) = 0,3085 :dance:

Est ce que c'est bon pour toi ? N'hésite pas sinon :P N'oublie pas de passer en résolu.

Plein de bisous <3
VP Ronéo BDE Carabins Ex Machina 2019/2020

Tutrice de Biostat'2018/2019
Avatar de l’utilisateur
Emmacarena
Tut' Biostat
Tut' Biostat
 
Messages: 1192
Inscription: 12 Aoû 2017, 18:18

Re: Loi Normale centrée réduite

Messagepar QuentinC » 17 Sep 2018, 07:41

Super merci pour tes explications, c'est bien clair !

Bonne journée
QuentinC
Apprenti Carabin
 
Messages: 162
Inscription: 15 Aoû 2017, 07:23


Retourner vers Cours de Staccini



Qui est en ligne

Utilisateurs parcourant ce forum: Aucun utilisateur enregistré et 0 invités