Hello !
Ce qu'on te dit dans le cours, c'est ça :
On va reprendre point par point !
La loi de Poisson :Elle permet de décrire un évènement qui se produit,
en moyenne, tous les [unité de temps] (ou d'autres unités, comme le volume ou la surface, mais toi tu auras très certainement uniquement des exemples en fonction du temps).
C'est une loi de probabilité
discrète. Voici sa formule :

- poisson.PNG (6.36 Kio) Vu 187 fois
Lambda est le
taux moyen avec lequel un évènement se produit, pour
l'unité de temps choisie dans l'énoncé. On l'appelle
espérance.
Exemple : on te donne un évènement qui se produit
3 fois tous les 6 mois. Dans l'énoncé, on te demande de calculer une probabilité qu'il se produise un certain nombre de fois par an. S'il se produit 3 fois en 6 mois,
il se produit 6 fois en un an ; donc tu vas prendre
lambda = 6.
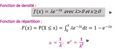
La loi exponentielle :Ce qu'il faut retenir ici à propos de cette loi, c'est +++ :
A une loi de Poisson de paramètre lambda, correspond une loi exponentielle d'espérance 1/lambda, qui va donner le temps entre 2 survenues consécutives de l'évènement.
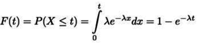
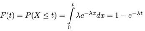
Les lois de probabilités
continues ont 2 formules : une fonction de
densité, et une fonction de
répartition. Voici sa fonction de répartition :
On y remplace donc lambda par 1/lambda de Poisson.
Pour reprendre l'exemple précédent : le lambda à mettre dans cette formule serait 1/6.
La fonction de défaillance :C'est tout simplement
la fonction de répartition d'une loi exponentielle d'espérance 1/lambda, où lambda est le paramètre d'une loi de Poisson qui régit le phénomène étudié.
C'est cette fonction qui va te permettre de
décrire la survie (ou pas) des gens de ta cohorte.
C'est mieux ?
