Salut !
On va reprendre ensemble la méthodologie de ce QRU, qui correspond typiquement au genre de QRU que le professeur Benoliel fait tomber au concours et qui applique son cours sur les statistiques déductives.
Je te joins les étapes clés :
Première étape : définir les hypothèses H0 et H1.
H0 est l'hypothèse nulle, selon laquelle tu n'as pas de différence/pas de lien, ici :
- pas de différence significative de PSA entre les patients qui prennent le traitement étudié et ceux qui ne le prennent pas ;
- pas de lien entre la prise du traitement étudié et la valeur de la PSA.
H1 est l'hypothèse alternative, selon laquelle il y a une différence/un lien :
- une différence significative de PSA entre les patients qui prennent le traitement étudié et ceux qui ne le prennent pas ;
- un lien entre la prise du traitement et la valeur de la PSA.
Ensuite, tu dois définir si les variables sont qualitatives ou quantitatives, et regarder ton nombre de sujets.Ici, on étudie un possible lien entre :

la Pression Systolique Aortique en mmHg (
quantitative)

le fait de prendre le traitement étudié ou pas (
qualitatif).
De plus, on a
36 sujets, donc plus de 30.
Il faut alors se référer à ce tableau :C'est un tableau à double entrée avec d'une part, le caractère
qualitatif ou quantitatif des variables (colonnes), et d'autre part, le
nombre de sujets (lignes).
Ici, notre situation correspond à la case en haut à droite : on nous indique qu'on peut utiliser la
comparaison de moyennes, mais aussi le test
t de Student ou encore le
U de Mann et Withney.

Important : comme tu le remarques,
tous les tests qui sont utilisables pour des petits échantillons sont applicables sur des échantillons plus grands. En revanche, l'inverse n'est absolument pas possible.
Par exemple, ici, le U de Mann et Withney est l'unique test approprié pour un échantillon de 4 à 12 sujets, mais on peut aussi l'utiliser pour des échantillons plus grands, là où le t de Student, puis la comparaison de moyennes, deviennent possibles !
En pratique, le test en vert est le plus approprié. Le test de référence pour une variable quali et une variable quanti par exemple, c'est la comparaison de moyennes, et le t de Student et le U de Mann et Withney tu peux les voir comme des "adaptations" pour des échantillons plus petits. Tu n'as donc pas d'intérêt à le faire pour des effectifs plus grands, mais c'est possible de le faire.
Le prof
ne te demandera jamais de choisir entre 2 tests, il te dira directement lequel est utilisé, ou alors il te demandera juste
si tel ou tel test est possible
Puis, tu fixes ton risque alpha.C'est le risque de
se tromper en rejetant H0 et en acceptant H1, autrement dit, le risque de
conclure à tort à un lien/une différence qui n'existe pas.
On considère que c'est
plus grave que le risque beta, qui est l'inverse : se tromper en acceptant H0, donc
conclure à tort à une absence de lien/de différence.
C'est pourquoi, dans la plupart des cas, on choisit de réduire le risque alpha (souvent fixé à 5%), au détriment du risque beta (souvent fixé à 20%).
Important : si le risque alpha n'est pas précisé, comme ici,
par défaut il est de 5%.
En fonction de ton risque alpha, tu obtiens un paramètre théorique.Ici,
pour 5%, c'est 1,96 !
Tu devras ensuite y comparer un
paramètre calculé, qui est parfois appelé Z ou encore epsilon, et s'il
dépasse ton paramètre théorique, tu
rejetteras H0 et tu concluras à H1. Sinon, c'est que tes résultats ne sont pas suffisants pour conclure à un lien, et dans ce cas tu rejetteras H1 et tu concluras à H0 !
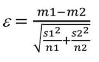
Le paramètre calculé te sera donné !Ici, il ne l'est pas, et c'est un peu tiré par les cheveux,
ce QRU ne tombera jamais tel quel au concours parce que le professeur précise bien qu'il n'y a pas de calculatrice donc pas de calcul au concours !
La moyenne, la variance (qui est le carré de l'écart-type) et le nombre de sujets t'étaient donnés. Tu devais
le calculer avec cette formule :

- epsilon.PNG (4.03 Kio) Vu 83 fois
On a m2-m1 = 0,3
s au carré = écart-type au carré = variance = 0,64
n = 36.

= 2,25
J'avoue je l'ai fait à la calculatrice lol mais encore une fois ce genre de calcul ne tombera jamaisOn tire maintenant les conclusions :On a un paramètre théorique de
1,96 et un paramètre calculé qui est plus grand, de
2,25.
On prend donc la décision de
rejeter H0 et d'accepter H1 !!
Voilàààà, n'hésite pas si tu comprends pas quelque chose encore
