Un QCM m'a montré qu'il y avait un truc qui n'était pas clair pour moi, donc je m'en remet à vous
Quand on nous demande de calculer une vitesse à partir de 2 diamètres, et d'une vitesse, on se base sur quelle formule ?
Parce que quand on est en situation telle que:
Fluide incompressible + régime stationnaire + section variable
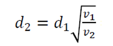
Mais du coup, quand est ce qu'on utilise d2= d1racine(v1/v2)?
Est ce qu'on se base sur celle ci en général, juste pour calculer un diamètre ?
Merci d'avance

