Le Guide pour bien débuter la LAS : Ici

Tutoriel Forum : Ici

Planning des Séances Tutorat et EB : ICI !
Errata : Séances Tutorat et EB, Annatuts, Ronéos
Centres de Téléchargement : ICI !
Réponses des Profs : ICI !
Annales : Achat, Corrections Officieuses
Annatuts : 2025-2026, Sommaire
MCC 25/26 : ICI
Candidature MMOPK : ICI
Terminale Santé : ICI

RÉSULTATS EB 5 : Ici

Newsletter : ICI


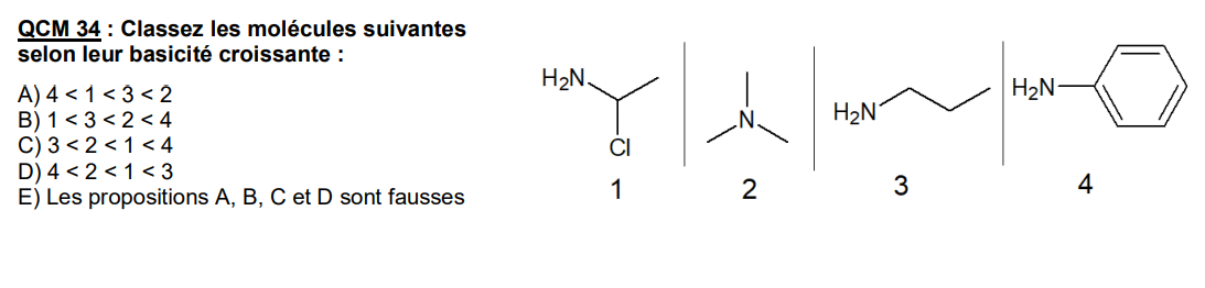
annatut 2018 qcm 34

Règles du forum
Utilisez la fonction recherche (en haut à droite) avant d'ouvrir un nouveau sujet.
Soyez respectueux, et pour faciliter le travail des tuteurs, ne posez qu'une question par sujet puis passez-le en résolu après avoir reçu votre réponse.

annatut 2018 qcm 34

Messagepar Cataleya06 » 23 Sep 2018, 20:46

Saluuut concernant l'ordre j'aurai mis 4<3<1<2 car le chlore décharge la base en électron donc la rend + stable et donc - basique

merci d'avance :)
Fichiers joints
cap1.PNG
Avatar de l’utilisateur
Cataleya06
Super Carabin
 
Messages: 4880
Inscription: 01 Oct 2017, 08:24

Re: annatut 2018 qcm 34

Messagepar Plante_organique » 24 Sep 2018, 12:45

Salut cataleya06 !

Alors on classe dans l’ordre croissant de basicité donc plus la molécule est instable !

Donc 4: la plus stable car mésomérie
1: stabilisé par l’effet attracteur du Cl qui enlève un peu de densité électronique qu’il y avait sur l’amine
3 : destabilisé par un effet inductif
4 : destabilisé par trois effets inductifs

Donc réponse A !
Ça va pour la molécule 1 ?
Tutrice de Chimie Organique 2018-2019
Avatar de l’utilisateur
Plante_organique
Carabin addicted
 
Messages: 1790
Inscription: 05 Aoû 2016, 21:44

Re: annatut 2018 qcm 34

Messagepar Cataleya06 » 24 Sep 2018, 12:59

oui merci
Avatar de l’utilisateur
Cataleya06
Super Carabin
 
Messages: 4880
Inscription: 01 Oct 2017, 08:24

Re: annatut 2018 qcm 34

Messagepar Plante_organique » 24 Sep 2018, 13:00

De rien !
Tutrice de Chimie Organique 2018-2019
Avatar de l’utilisateur
Plante_organique
Carabin addicted
 
Messages: 1790
Inscription: 05 Aoû 2016, 21:44


Retourner vers QCMs annatuts / DMs / annales



Qui est en ligne

Utilisateurs parcourant ce forum: Aucun utilisateur enregistré et 1 invité