Salut salut !
Petite question à propos de cette molécule plus qu'à propos des effets électroniques :

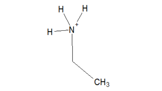
- Amine.png (7.76 Kio) Vu 121 fois
Ici on retrouve un acide carboxylique sous sa forme carboxylate COO-, et une amine quaternaire protonnée

C'est pas plutôt une amine primaire ? Etant donné qu'elle est liée à 3 hydrogènes et à seulement un carbone ?
Merci d'avance !

PS : désolé pour ma molécule pas hyper esthétique

Chef Tuteur Logistique PASS/LAS 2020/2021 (à la retraite)
Tuteur d'Anatomie du Petit Bassin Féminin 2019/2020 (à la retraite)