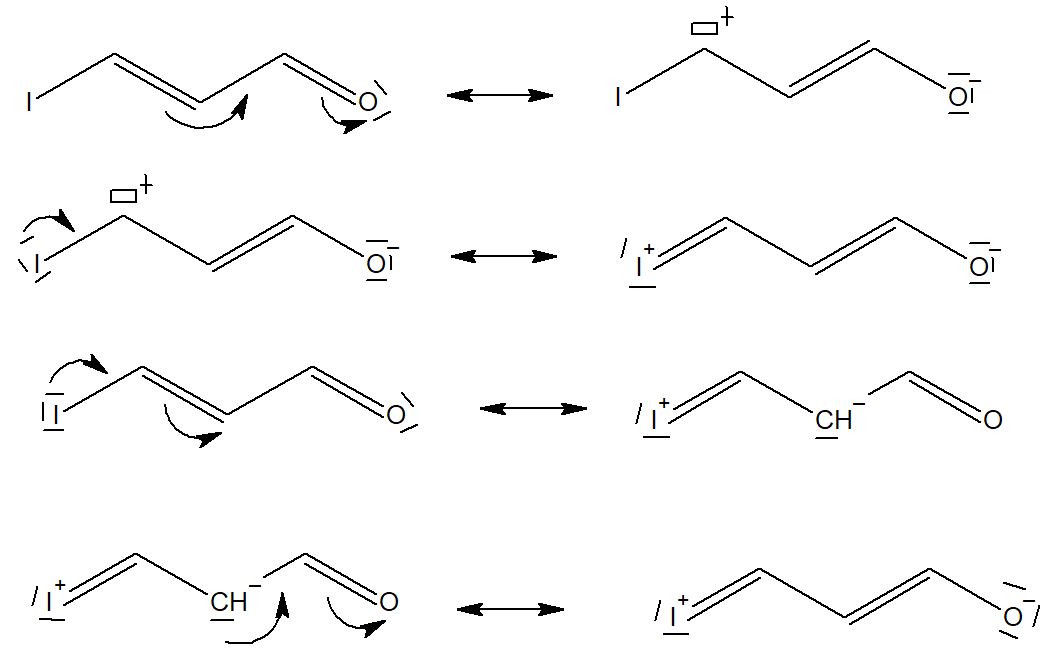
J'ai un souci sur l'effet mésomère, je ne comprends pas pourquoi dans la ronéo 3 p 3 avec la mésomérie de l'iode la liaison pi se déplace sur le carbone et non pas sur la liaison adjacente à l' O sachant qu'après, la liaison pi de l'oxygène peut se déplacer sur lui. Mais dans l'exemple on s'arrête sur le carbone, car il est marqué qu'il faut faut respecter la règle de l'octet mais je trouve que même en déplacent la liaison, le C sera toujours lié à 4 groupements. Je ne sais pas si j'étais clair
.Merci


