Salut!
QCM typique à vraiment savoir faire donc t'as raison de faire les annatuths !!
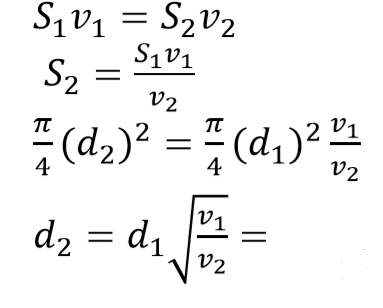
Essaye au maximum de te rapprocher du raisonnement sur l'image ci dessous, directement tirée du diapo du prof

- principe de continuité du débit.png (21.04 Kio) Vu 101 fois
Tu remplaces par les valeurs :

et après c'est très facile quoi, y a même pas besoin de se faire chier avec les unités
D'ailleurs, la réponse finale est 3 mm ou 3.

m donc les items proposés sont tous faux
Concernant la formule de la section, c'est soit

soit
En général dans l'énoncé c'est le diamètre proposé et non le rayon et tu retombes donc sur l'image ci-dessus !
Voilà, entraîne toi bien !