Salut Léa,
je pense qu'on est suffisamment réactif en UE 3B pour répondre à tous vos posts donc mettre un up au bout d'un jour c'est pas nécessaire, tu verras en p2, je te le souhaite, qu'on a aussi des choses à faire donc on peut pas tout le temps répondre à la minute
Sinon ta remarque n'est vraiment pas bête t'es apparemment pas la seule à avoir raisonner comme ça

- qcm 1.png (6.23 Kio) Vu 244 fois
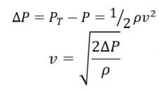
Tu vois dans le screen du diapo du prof que le

de la formule n'est pas le même que le

de la formule de Poiseuille
La formule que tu as utilisé c'est dans un contexte de mesure de pressions dans un fluide idéal en écoulement, le

représente la différence entre la pression terminale et la pression latérale et pas la différence de pression entre l'entrée et la sortie d'un réseau capillaire !
Ta démarche n'est pas mauvaise en tout cas bonne chance pour la suite
