Bonjour,
J’ai besoin de votre aide sur les glycerophospholipides, il est dit que la molécule est amphotère donc possède un acide et une base, mais je n’arrive pas à voir quelle est la base si vous pouviez m’aider merci

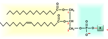
Maëstro a écrit:la phosphatidylsérine par exemple tu vois qu'il y a une partie acide COO- et basique NH3+

Utilisateurs parcourant ce forum: Aucun utilisateur enregistré et 1 invité