Le Guide pour bien débuter la LAS : Ici

Tutoriel Forum : Ici

Planning des Séances Tutorat et EB : ICI !
Errata : Séances Tutorat et EB, Annatuts, Ronéos
Centres de Téléchargement : ICI !
Réponses des Profs : ICI !
Annales : Achat, Corrections Officieuses
Annatuts : 2025-2026, Sommaire
MCC 25/26 : ICI
Candidature MMOPK : ICI
Terminale Santé : ICI

CORRECTION ST 4 : Ici

Newsletter : ICI


Ronéo 4 ( 2018-2019)

Règles du forum
Utilisez la fonction recherche (en haut à droite) avant d'ouvrir un nouveau sujet.
Soyez respectueux, et pour faciliter le travail des tuteurs, ne posez qu'une question par sujet puis passez-le en résolu après avoir reçu votre réponse.

Ronéo 4 ( 2018-2019)

Messagepar fornasero » 13 Sep 2019, 17:14

Bonjour, dans la ronéo 4 de l'année dernière, la première sur la bioénergétique il y a un paragraphe p26 que je ne comprend pas: il nous disent que quand on passe de l'ATP à l'AMP on libère 45kJ/mol et juste en dessous ils nous disent que quand on passe de l'ATP à l'AMP, on libère 2*31kJ/mol+19kJ/mol ce qui ne donne pas 45 0_o
Donc je ne comprend pas le rapport entre l'explication qu'on nous donne dans le paragraphe et la valeur qu'on nous indique au début de celui-ci... @@
fornasero
Carabin Geek
 
Messages: 706
Inscription: 21 Jan 2019, 18:42

Re: Ronéo 4 ( 2018-2019)

Messagepar Nicolactate » 18 Sep 2019, 14:53

Coucou à toi ^^

Alors je n'ai pas la ronéo sous les yeux mais je vais te donner la version qu'il faut retenir ! :waving:

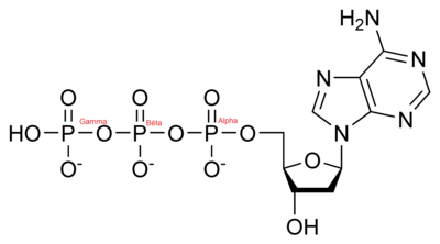
Alors déjà tu sais que l'ATP contient 2 liaison phosphoanhydres riches en énergie (la liaison gamma et béta) qui peuvent être coupées et donc libérée de l'énergie. ( les deux libèrent la même quantités d'énergie soit 31kJ/mol)

Je te met une image ici essaye de suivre avec les explications : :curl-lip: :curl-lip:
DATP_chemical_structure.png


Donc on a deux cas : :clap:

I- Si tu passes d'un ATP à un ADP puis à un AMP tu vas faire cette réaction :
ATP -(coupure de la liaison gamma)----> ADP + Pi (phosphate inorganique) (libère 31kJ/mol) / ADP -(coupure de la liaison béta)-----> AMP + Pi (libère encore 31kJ/mol) .
Donc dans ce cas la on a libérer 62kJ/mol en tout!

II- Si tu passes maintenant d'un ATP directement à un AMP tu vas faire cette réaction :
ATP -(coupure de la liaison béta)------> AMP + PPi (pyrophosphate) (ici on libère 45kJ/mol) Sauf que le PPi on peut encore l'hydrolyser
PPi -(coupure entre les deux phosphates)---> 2Pi (libère 19kJ/mol)
Donc dans ce cas là on a libérer 45 + 19 = 64kJ/mol en tout ^^

voilà j'espère que c'est plus clair comme ça :) a++ :fingers-crossed: :rotfl: :rotfl:
Tuteur de BIOCHIMIE 2019-2020
Avatar de l’utilisateur
Nicolactate
Carabin addicted
 
Messages: 1316
Inscription: 13 Juil 2019, 20:27
Localisation: Dans le Labo d'Hinault

Re: Ronéo 4 ( 2018-2019)

Messagepar fornasero » 19 Sep 2019, 16:38

Oui c'est super clair ! Merci beaucoup !
fornasero
Carabin Geek
 
Messages: 706
Inscription: 21 Jan 2019, 18:42


Retourner vers Bioénergétique



Qui est en ligne

Utilisateurs parcourant ce forum: Aucun utilisateur enregistré et 0 invités