Le Guide pour bien débuter la LAS : Ici

Tutoriel Forum : Ici

Planning des Séances Tutorat et EB : ICI !
Errata : Séances Tutorat et EB, Annatuts, Ronéos
Centres de Téléchargement : ICI !
Réponses des Profs : ICI !
Annales : Achat, Corrections Officieuses
Annatuts : 2025-2026, Sommaire
MCC 25/26 : ICI
Candidature MMOPK : ICI
Terminale Santé : ICI

INFORMATIONS ST 4 : Ici

Newsletter : ICI


Poussée d'Archimède

Règles du forum
Utilisez la fonction recherche (en haut à droite) avant d'ouvrir un nouveau sujet.
Soyez respectueux, et pour faciliter le travail des tuteurs, ne posez qu'une question par sujet puis passez-le en résolu après avoir reçu votre réponse.

Poussée d'Archimède

Messagepar Rey_Bacterio » 06 Déc 2019, 11:04

Salut, : :D :
Étant donné que la poussée d'Archimède est dirigée vers le haut, si on a un corps immergé qui possède une masse volumique inférieure à celui du fluide, celui ci aura une trajectoire ascendante, du coup est-ce qu'on considère sa vitesse limite comme négative ? Est ce que dans un QCM faudrait compter la vitesse limite du corps comme négative ou positive ?
Merci !
#DOUBLE-CO #ERRATA #FAUX #WTF #ERRATUM #SVP #PLIZ #DOUBLE-CO #ERRATA #FAUX #WTF #ERRATUM #SVP #PLIZ #DOUBLE-CO #ERRATA #FAUX #WTF #ERRATUM #SVP #PLIZ#DOUBLE-CO #ERRATA #FAUX #WTF #ERRATUM #SVP #PLIZ
Avatar de l’utilisateur
Rey_Bacterio
Carabin addicted
 
Messages: 1494
Inscription: 08 Sep 2019, 10:36
Localisation: Paradis

Re: Poussée d'Archimède

Messagepar Choups » 06 Déc 2019, 11:22

Bonjour,

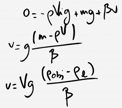
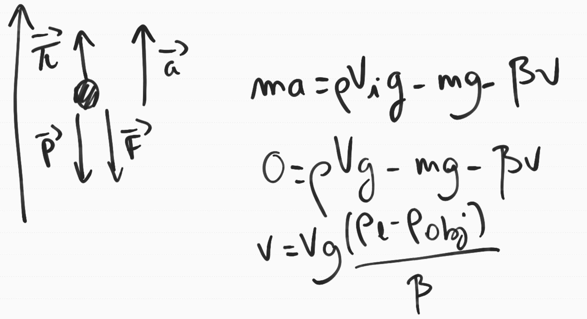
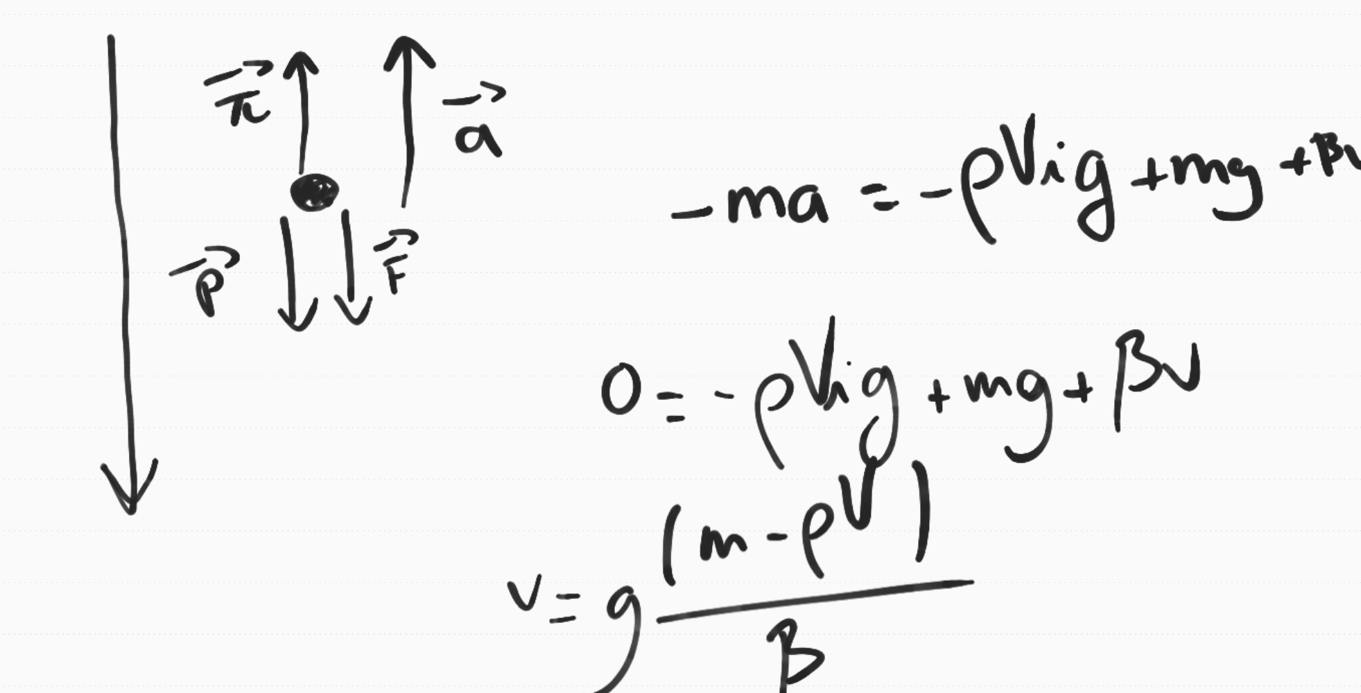
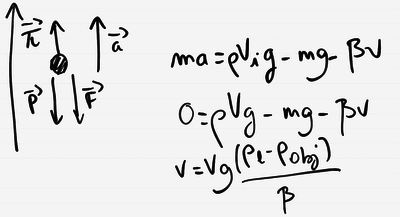
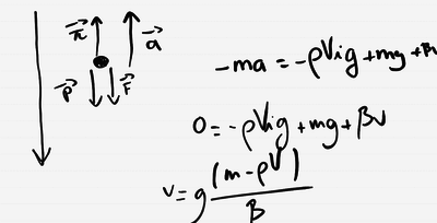
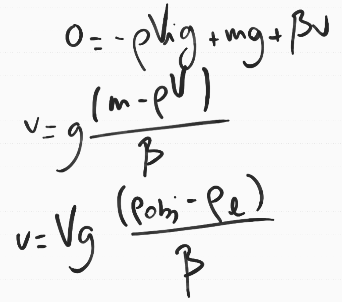
Tout dépend de comment tu orientes ton axe.

Voici les deux cas de figure :

1)
Reponse_1.png

Reponse_2.png


2)
Reponse_3.png


Dans les deux cas, on a p du fluide qui est supérieur à celui de l'objet, donc si on est dans le cas n°1 alors la vitesse limite est négative en revanche si on est dans le cas n°2 alors la vitesse limite est positive.

C'est bon pour toi ? :einstein:
:einstein: Tutrice physique 2019-2020 :einstein:

FONCTION RECHEEERCHE

(Et n'oubliez pas de passer vos posts en résolu :) )
Choups
Carabin addicted
 
Messages: 1444
Inscription: 11 Sep 2018, 17:22

Re: Poussée d'Archimède

Messagepar Rey_Bacterio » 07 Déc 2019, 16:07

Dac ça merci bcp !!
#DOUBLE-CO #ERRATA #FAUX #WTF #ERRATUM #SVP #PLIZ #DOUBLE-CO #ERRATA #FAUX #WTF #ERRATUM #SVP #PLIZ #DOUBLE-CO #ERRATA #FAUX #WTF #ERRATUM #SVP #PLIZ#DOUBLE-CO #ERRATA #FAUX #WTF #ERRATUM #SVP #PLIZ
Avatar de l’utilisateur
Rey_Bacterio
Carabin addicted
 
Messages: 1494
Inscription: 08 Sep 2019, 10:36
Localisation: Paradis


Retourner vers Physique classique



Qui est en ligne

Utilisateurs parcourant ce forum: Aucun utilisateur enregistré et 1 invité