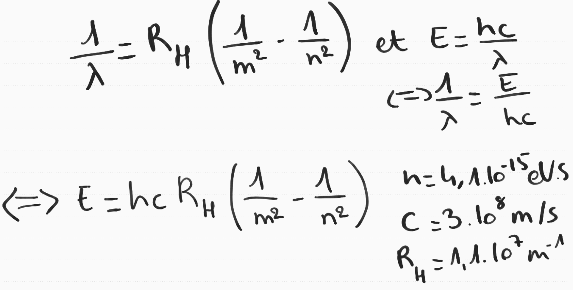
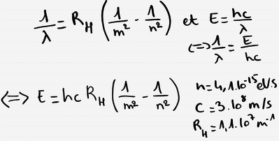
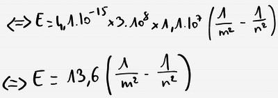
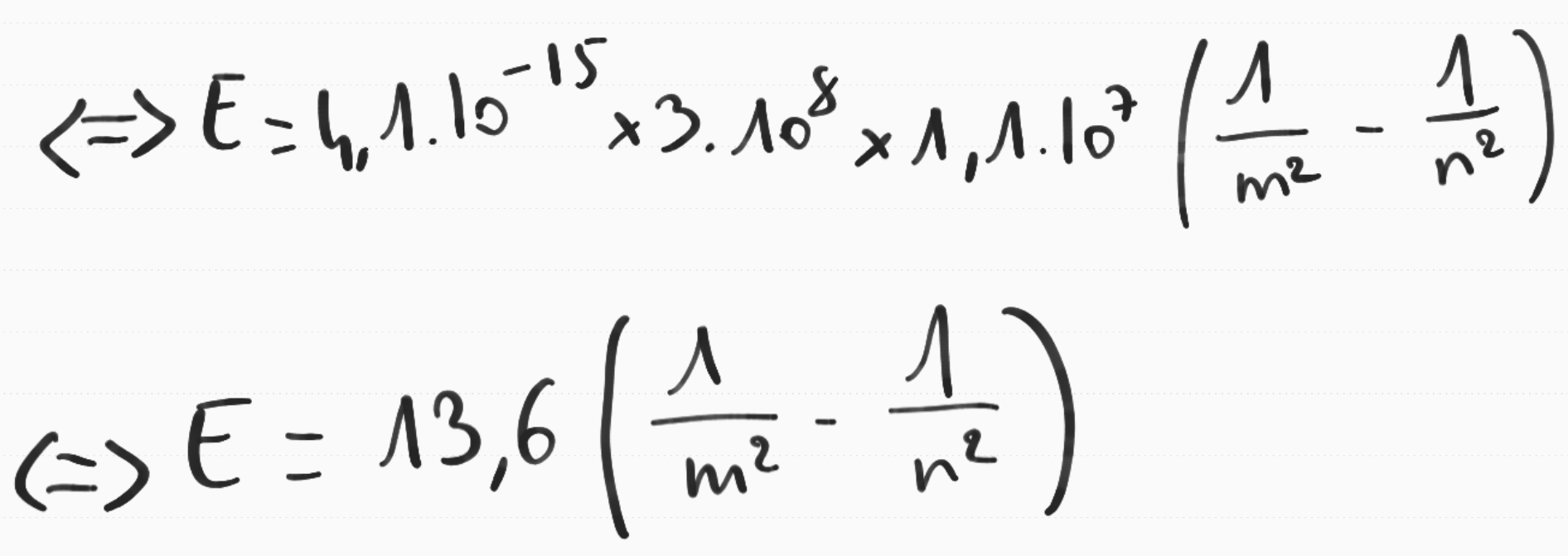
je n'arrive pas a comprendre cet item. Je vois qu'il fait référence a la formule avec la différence de l'inverse de carrés d'entiers, ainsi qu'a celle qui nous donne l'énergie mécanique des e- selon leur couche n, mais je ne comprends pas pourquoi on mélange les 2... pour moi au lieu de 13,6 il faudrait mettre la constante de Rydberg
merci



