Alors j'ai deux petites questions par rapport à deux notion du cours, en fait j'ai fait un qcm d'annales de 2009 et deux petites choses m'ont dérangé :
- premièrement : il y avait un item qui est celui-ci "A) Un dioptre sphérique sépare deux milieux dont les indices de réfraction diffèrent. " cet item était compté vrai mais dans le cours je vois pas où est ce que c'est précisé que le dioptre sphérique sépare forcément deux milieux d'indice différents ? (peut être la version du prof change mais on sait jamais j'ai peut être loupé un détail c'est pour ça je pose la question…)
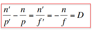
- deuxièmement est il possible d'avoir un piège au concours du style : " D = n'/f " ---> faux : " D= n'/f' "
Merci d'avance pour votre réponse !
(je sais que le qcm remonte à il y a un peu longtemps mais bon c'est toujours de l'entrainement et c'est tj du programme c'est pour ça que je l'ai fait …)
