Il existe une correspondance entre l'intensité énergétique (qui est une variable "exacte" car n'est pas basée à partir d'une simple perception). Ainsi l'intensité LUMINEUSE est proportionnelle à l'intensité énergétique d'un facteur
)
, avec
)
correspondant à la fonction de visibilité et

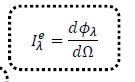
correspondant à la définition écrite sur la ronéo, je te mets les screens des explications :
C'est d'ailleurs pour ça que tu as la "même formule" pour l'intenisté énergétique et l'intensité lumineuse, avec seulement la présence de ce facteur de proportionnalité en plus pour l’intensité lumineuse :

- Intenisté lumineuse.png (2.82 Kio) Vu 315 fois

- Intenisté énergétique.png (2.21 Kio) Vu 315 fois
Cependant comme je te le dis le flux
LUMINEUX se calcule en fonction de l'intensité
LUMINEUSE et le flux
ÉNERGÉTIQUE (dont on ne te parle pas dans le cours) se calcule en fonction de l'intensité
ÉNERGÉTIQUE