Le Guide pour bien débuter la LAS : Ici

Tutoriel Forum : Ici

Planning des Séances Tutorat et EB : ICI !
Errata : Séances Tutorat et EB, Annatuts, Ronéos
Centres de Téléchargement : ICI !
Réponses des Profs : ICI !
Annales : Achat, Corrections Officieuses
Annatuts : 2025-2026, Sommaire
MCC 25/26 : ICI
Candidature MMOPK : ICI
Terminale Santé : ICI

CORRECTION ST 4 : Ici

Newsletter : ICI


QCM 3 item D

Règles du forum
Utilisez la fonction recherche (en haut à droite) avant d'ouvrir un nouveau sujet.
Soyez respectueux, et pour faciliter le travail des tuteurs, ne posez qu'une question par sujet puis passez-le en résolu après avoir reçu votre réponse.

QCM 3 item D

Messagepar Sachou » 20 Nov 2019, 08:12

Coucou les tuteurs!

Alors j'aimerais faire part de mon raisonnement à propos de cet item. Vous dites que l'angle de deviation du violet sera 2,25 fois plus important que celui du jaune. Or pour moi, ce sont seulement les n(lambda) qui ont un rapport de 2,25.

Je m'explique, si on met après les n(lambda) dans la formule de l'angle de déviation, on soustrait ces n(lambda) par 1, ce qui change le rapport. On a donc bien les n(lambda) qui ont un rapport de 2,25, mais cette soustraction change tout le rapport. Le rapport des angles de déviation n'est plus égal à 2,25.

Je vais mettre un contre-exemple : admettons que le n(lambda) de l'un est 1,6, on aura par conséquent celui de l'autre qui sera 3,6 (puisque 1,6 × 2,25=3,6). On obtiendra donc D1=(1,6-1)×A et D2=(3,6-1)×A. J'imagine que l'on considère que le A est le même dans les deux formules. On se retrouve donc avec D1= 0,6×A et D2 = 2,6×A. Or si on fait le rapport D2/D1, on trouve 4,333. On est donc loin de 2,25.

J'espère ne m'être trompé nulle part, je sollicite votre avis.

Merci d'avance :wink2:
Sachou
Carabin vétéran
 
Messages: 360
Inscription: 06 Sep 2019, 13:04

Re: QCM 3 item D

Messagepar The Krill » 20 Nov 2019, 09:37

heeey,

je suis totalement d'accord avec Sacha et je pense même que les n(lambda) eux-mêmes n'ont pas forcément un rapport de 2,25, je vais aussi mettre un contre-exemple: si on considère la loi de Cauchy: n=a+b/(lambda)^2, on peut prendre a et = 1 pour rendre le calcul plus simple et je vais prendre comme longueurs d'onde 4 et 6 (c'est pareil aussi du coup on a bien 6^2/4^2=2,25, si on fait le calcul des 2 n, on obtient 1,0625 pour lambda=4 et 1,0278 pour lambda=6. On fait le rapport entre les deux n trouvés et on obtient 1,034 différent donc de 2,25.

Mais je suis ensuite aussi d'accord avec ce que dit Sacha, trop de choses pouvaient mal tourner dans ce calcul je pense,

Voilà merci beaucoup de nous éclairer si on se trompe, vous gérez!
Avatar de l’utilisateur
The Krill
Apprenti Carabin
 
Messages: 166
Inscription: 03 Sep 2019, 11:36

Re: QCM 3 item D

Messagepar Amandab » 20 Nov 2019, 15:14

Bonjour ! :einstein:

Vous avez complètement raison, je me suis juste embrouillée toute seule bien comme il faut, oubliez complètement cet item, qui est faux ! Genre barrez le de votre sujet (je suis vraiment désolée)

La réponse est donc BC (encore une fois oubliez l'item D)

Bon courage ! :soldier:
:einstein: Tutrice de physique 2019-2020 :einstein:


MAZETTE ! (en général)
Amandab
Carabin addicted
 
Messages: 1022
Inscription: 10 Fév 2018, 21:46

Re: QCM 3 item D

Messagepar The Krill » 20 Nov 2019, 15:23

Pas de problème et merciiii vraiment ❤️
Avatar de l’utilisateur
The Krill
Apprenti Carabin
 
Messages: 166
Inscription: 03 Sep 2019, 11:36

Re: QCM 3 item D

Messagepar Sachou » 20 Nov 2019, 15:27

Tkt y'a pas de souci, merci d'avoir répondu :)
Sachou
Carabin vétéran
 
Messages: 360
Inscription: 06 Sep 2019, 13:04

Re: QCM 3 item D

Messagepar brionovic » 20 Nov 2019, 16:33

Oyééé oyé,

alors la on part sur des démonstration mathématique mais déjà (a x b)^2 = a^2 x b^2
donc mtn on prend n= a+b/ (2lambda)^2 avec l'indice optique = 2
ce qui vaut n= a+b/4 x lamda^2
maintenant on imagine que x =b/lambda^2
alors on a : n = a+x/4
Ensuite vient D = (n-1) x A
On remplace D= (a + x/4 - 1) x A

Si on donne des valeur a(=1) et b(=2) et lambda (=4) ca fait :

D = (1+ 1/16 - 1) x A
D = (17/16 - 1) x A
D= A/16





Pareil mais multiplié avec l'indice optique au carré

D= (1+ 1/ 4x16 - 1) x A
D= (65/64 - 1) x A
D= A/64


Maintenant 64/16= 4 et on retrouve bien le facteur n(indice optique)^2 qui vaut 2,25 dans ce qcm.

Qu'en pensez vous ?
Dernière édition par brionovic le 21 Nov 2019, 11:15, édité 1 fois.
brionovic
Carabin No Life
 
Messages: 838
Inscription: 06 Fév 2019, 15:16
Localisation: c est un lupus

Re: QCM 3 item D

Messagepar Amandab » 21 Nov 2019, 10:49

Rebonjour à vous tous,

Bon déjà désolée de m'être autant embrouillée et désolée de vous répondre que maintenant mais j'ai passé la matinée à trouver la démonstration mathématique qui confirmerait ou infirmerait cet item.

Donc pour la démonstration mathématique stricte : (je vous fais une capture d'écran car la démonstration étant très longue c'est compliqué pour moi de l'écrire sur le forum)
Pour déterminer si un rayon est plus dévié que l'autre et la différence de déviation de ce rayon, il faut faire un rapport entre nos 2 angles de déviation et on a alors : (accrochez vous)
En considérant que toutes choses étant égales par ailleurs (donc que A, a et b reste égaux pour les 2 longueurs d'onde, on obtient alors ces différents calculs

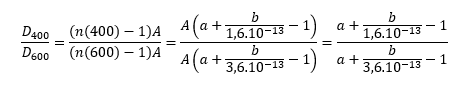
Tout d'abord on réécrit la formule des angles de déviation :
Cauchy ce foufou.png
Cauchy ce foufou.png (1.85 Kio) Vu 668 fois

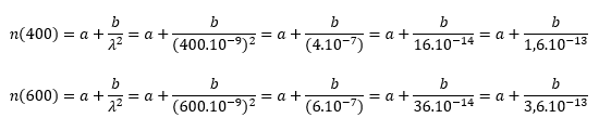
Ensuite on réécrit le calcul des indices optiques en fonction de nos longueurs d'onde :
Cauchy ce sacripan.png
Cauchy ce sacripan.png (6.35 Kio) Vu 668 fois

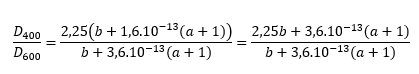
On remplace donc les indices optiques calculés avec la loi de Cauchy dans la formule de l'angle de déviation écrite plus haut :
Cauchy ce fifrelin.png
Cauchy ce fifrelin.png (4.88 Kio) Vu 668 fois


Et on simplifie nos fractions au maximum (là c'est vraiment pas jojo, désolée, j'ai bien détaillé pour que vous compreniez) :
Cauchy et la migraine.png
Cauchy et la migraine.png (6.16 Kio) Vu 668 fois
Cauchy n'en finit plus.png
Cauchy n'en finit plus.png (5.4 Kio) Vu 668 fois
Cauchy nous perd.png
Cauchy nous perd.png (4.23 Kio) Vu 668 fois

Par ailleurs étant donnée que on peut le considérer comme nul, donc on peut considérer le produit comme nul ce qui nous amène à la fraction final étant
Cauchy ce bg.png
Cauchy ce bg.png (1.37 Kio) Vu 668 fois


Je suis vraiment vraiment désolée d'avoir fait un item si compliqué, je n'avais pas vu la complexité et les problèmes qu'il pouvait engendrer...

En espérant que ces longs calculs et cette explications soient clairs malgré tout :sweat:

Bon courage ! :soldier:
:einstein: Tutrice de physique 2019-2020 :einstein:


MAZETTE ! (en général)
Amandab
Carabin addicted
 
Messages: 1022
Inscription: 10 Fév 2018, 21:46

Re: QCM 3 item D

Messagepar The Krill » 21 Nov 2019, 11:11

coucouuu,

déjà merci beaucoup pour la démonstration ça a du te prendre tellement de temps! je suis plutôt très d'accord avec la démonstration tout a l'air bien, mais du coup je ne comprends pas trop pourquoi on a quand même réussi à trouver des contre exemples qui ne correspondent pas du coup, est ce que tu aurais par hasard une idée de pourquoi les contre exemples qu'on a trouvés ne sont pas valables?

Merci encore vraiment je suis vraiment désolée de tous les problèmes qu'on te cause avec cet item <3
Avatar de l’utilisateur
The Krill
Apprenti Carabin
 
Messages: 166
Inscription: 03 Sep 2019, 11:36

Re: QCM 3 item D

Messagepar Amandab » 21 Nov 2019, 11:15

En fait dans l'exemple de Sachou, il prend directement les valeurs des longueurs d'onde au carré, or ce n'est qu'une petite part de la loi de Cauchy ! Le reste de la loi de Cauchy va "pondérer" ce . Tu vois ce que je veux dire ?

Je suis vraiment désolée de vous avoir fait un item si complexe, ce n'était pas du tout du tout voulu
:einstein: Tutrice de physique 2019-2020 :einstein:


MAZETTE ! (en général)
Amandab
Carabin addicted
 
Messages: 1022
Inscription: 10 Fév 2018, 21:46

Re: QCM 3 item D

Messagepar Gabbb » 21 Nov 2019, 11:19

Mais en soit on ne connait pas la valeur de "a", du coup est ce qu'on peut affirmer que 3,6.10^-13(a-1) est nul?! Genre si il est de l'ordre de 10^13, il n'est plus négligeable.. :(
Avatar de l’utilisateur
Gabbb
Carabin vétéran
 
Messages: 298
Inscription: 16 Aoû 2019, 19:27

Re: QCM 3 item D

Messagepar lisaa_arnd » 21 Nov 2019, 11:23

Oui voilà c’est ce que je me dis aussi, si a est très grand bah 3,6x10-13(a-1) ne devient pas presque nul...
lisaa_arnd
Carabin addicted
 
Messages: 1328
Inscription: 23 Juil 2018, 11:04

Re: QCM 3 item D

Messagepar The Krill » 21 Nov 2019, 11:30

oui j'ai continué le calcul et tu as raison en fait c'est le fait d'utiliser les 2 parties de la loi qui rééquilibre les choses. Pour les autres j'ai repris les valeurs que j'avais utilisées dans mon exemple plus haut, à savoir n(400)=1,0625 et n(600)= 1,0278 et je les ai réinjectées dans la formule de D, ça fait quelque chose comme:
(1,0625-1)A/(1,0278-1)A, on simplifie les A et on obtient 0,0625/0,0278 ce qui est bien environ égal à 2,25. Il n'y a pas de relation de proportionnalité directe en fait mais au final les deux formules vont se compenser.

BREF merci encore en tout cas tu gères!
Avatar de l’utilisateur
The Krill
Apprenti Carabin
 
Messages: 166
Inscription: 03 Sep 2019, 11:36

Re: QCM 3 item D

Messagepar lisaa_arnd » 21 Nov 2019, 11:33

Oui peut être que ça marche pour ton exemple mais si a est très grand ça marche plus du coup
lisaa_arnd
Carabin addicted
 
Messages: 1328
Inscription: 23 Juil 2018, 11:04

Re: QCM 3 item D

Messagepar Amandab » 21 Nov 2019, 11:45

a n'est pas infiment grand

n représente l'indice optique d'un matériau, or l'indice optique d'un matériau a une valeur comprise entre 1 et 2.

Par ailleurs, l'intervalle des longueurs d'onde dans le visible est [400 nm - 800nm]. Donc prenons le milieu de cet intervalle et prenons (on peut prendre n'importe quelle valeur dans cet intervalle, c'est l'ordre de grandeur en centaine de nanomètres qui compte, le résultat sera le même)

On a : et pour 600 nm on a : .
Or je le rappelle, n doit être compris entre 1 et 2, donc si a est lui très grand, alors n sera très très grand à son tour (or il est généralement compris entre 1 et 2, la seule excpetion que vous connaissez est le diamant dont l'indice optique est de 2,4)

Par ailleurs, je vous le dis pour que vous le sachiez, a est de l'ordre de l'unité

Par ailleurs, de toute façon, comme je l'ai dit, qu'elles que soient les valeurs de b et a, comme est très petit devant 2,25 et devant l'unité on peut le négliger pour le reste du calcul
:einstein: Tutrice de physique 2019-2020 :einstein:


MAZETTE ! (en général)
Amandab
Carabin addicted
 
Messages: 1022
Inscription: 10 Fév 2018, 21:46

Re: QCM 3 item D

Messagepar Gabbb » 21 Nov 2019, 11:54

ok ça marche c'est clair pour moi, merci!!
Avatar de l’utilisateur
Gabbb
Carabin vétéran
 
Messages: 298
Inscription: 16 Aoû 2019, 19:27

Re: QCM 3 item D

Messagepar lisaa_arnd » 21 Nov 2019, 12:00

D’accord j’ai compris merci
Mais ceux qui ont eu l’item l’ont eu par chance donc c’est assez relou pck ceux qui l’ont eu l’ont eu en raisonnant de la mauvaise manière donc au final personne ne devrait l’avoir ou alors dc
lisaa_arnd
Carabin addicted
 
Messages: 1328
Inscription: 23 Juil 2018, 11:04

Re: QCM 3 item D

Messagepar Sachou » 21 Nov 2019, 12:03

Je serais aussi de cet avis
Sachou
Carabin vétéran
 
Messages: 360
Inscription: 06 Sep 2019, 13:04

Re: QCM 3 item D

Messagepar Choups » 21 Nov 2019, 12:50

Certes, cet item était compliqué. Mais si vous vous retrouvez face à un item du type de l'onde polychromatique dans les interférences (QCM 7 item D de la SDR) le jour du concours, je ne pense pas qu'il y ait beaucoup de personnes qui l'auront parce qu'elles auront eu le bon raisonnement, et vous ne pourrez pas aller voir le prof pour lui demander doubler co. De toute façon, nous ne pouvons plus modifier les bilans de réponse.
:einstein: Tutrice physique 2019-2020 :einstein:

FONCTION RECHEEERCHE

(Et n'oubliez pas de passer vos posts en résolu :) )
Choups
Carabin addicted
 
Messages: 1444
Inscription: 11 Sep 2018, 17:22


Retourner vers QCM Tutorat & CCB



Qui est en ligne

Utilisateurs parcourant ce forum: Aucun utilisateur enregistré et 1 invité