Le Guide pour bien débuter la LAS : Ici

Tutoriel Forum : Ici

Planning des Séances Tutorat et EB : ICI !
Errata : Séances Tutorat et EB, Annatuts, Ronéos
Centres de Téléchargement : ICI !
Réponses des Profs : ICI !
Annales : Achat, Corrections Officieuses
Annatuts : 2025-2026, Sommaire
MCC 25/26 : ICI
Candidature MMOPK : ICI
Terminale Santé : ICI

RÉSULTATS EB 5 : Ici

Newsletter : ICI


SN1/Déshydratation intermoléculaire avec un acide nucléophil

Règles du forum
Utilisez la fonction recherche (en haut à droite) avant d'ouvrir un nouveau sujet.
Soyez respectueux, et pour faciliter le travail des tuteurs, ne posez qu'une question par sujet puis passez-le en résolu après avoir reçu votre réponse.

SN1/Déshydratation intermoléculaire avec un acide nucléophil

Messagepar Narcisse » 24 Oct 2019, 10:16

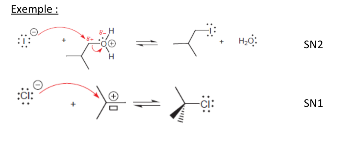
Salut je ne comprend pas du tout le principe de la SN1 dans la Déshydratation intermoléculaire avec un acide nucléophile pour les alcool car ici on n'a pas de rejet d'H2O j'ai du louper un détail non?
Fichiers joints
Capture d’écran 2019-10-24 à 11.13.47.png
Avatar de l’utilisateur
Narcisse
Carabin débutant
 
Messages: 48
Inscription: 16 Juil 2018, 10:47
Localisation: en UE6

Re: SN1/Déshydratation intermoléculaire avec un acide nucléo

Messagepar Taddol » 24 Oct 2019, 10:32

Salut
Là il manque l'eau qui est présent mais non représenté. En fait cette image est le détail de la réaction sur le carbocation de celle-ci (en bas):
tutforum.png
tutforum.png (6.72 Kio) Vu 95 fois
:) TUTEUR CHIMIE ORGA (:
Avatar de l’utilisateur
Taddol
Carabin Geek
 
Messages: 738
Inscription: 01 Juil 2017, 11:55

Re: SN1/Déshydratation intermoléculaire avec un acide nucléo

Messagepar Narcisse » 24 Oct 2019, 11:43

Ok nickel merci :)
Avatar de l’utilisateur
Narcisse
Carabin débutant
 
Messages: 48
Inscription: 16 Juil 2018, 10:47
Localisation: en UE6


Retourner vers Alcanes (SN/E), Alcènes, Alcynes + Alcools + Amines



Qui est en ligne

Utilisateurs parcourant ce forum: Aucun utilisateur enregistré et 0 invités