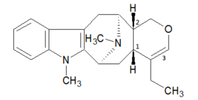
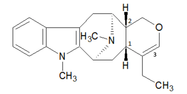
Concernant l'item D du QCM 9 (le 2e) du DM 2, je ne comprends pas vraiment la correction: "La double liaison est en configuration Z car le C1 porte 2 autres C tandis que le C du bas n’en porte qu’un".

Je sais pas trop comment poser ma question, en fait j'ai pas vraiment de question précise, j'ai juste pas compris haha
