Le Guide pour bien débuter la LAS : Ici

Tutoriel Forum : Ici

Planning des Séances Tutorat et EB : ICI !
Errata : Séances Tutorat et EB, Annatuts, Ronéos
Centres de Téléchargement : ICI !
Réponses des Profs : ICI !
Annales : Achat, Corrections Officieuses
Annatuts : 2025-2026, Sommaire
MCC 25/26 : ICI
Candidature MMOPK : ICI
Terminale Santé : ICI

INSCRIPTIONS ATELIERS ORAUX : Ici

SUJETS EB SEMESTRE 2 : Ici

Newsletter : ICI


QCMs annulé au tutorat 7/12


QCMs annulé au tutorat 7/12

Messagepar Buddy » 07 Déc 2010, 21:50

Bonsoir,

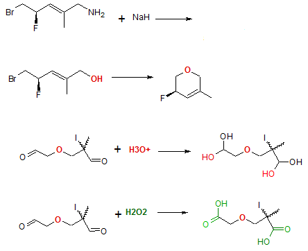
Alors je tiens à m'expliquer sur l'annulation des qcms 9/ 12/ 17. J'ai fait des coquilles je m'en excuse, c'est tout simplement inadmissible. Je vous promets que pour le dm aucune mais alors aucune ambiguité ne sera possible quite à ce que je passe 2h sur chaque qcm. Je suis désolée.

QCM 9

Sur la réaction 1, je voulais vous faire faire une intramoléculaire en déprotonnant NH2 par H-, mais la différence de pKa n'est pas suffisante pour le permettre donc à la place de NH2, il aurait fallu mettre OH et ça marchait.

Sur la réaction 4, H3O+ excès n'est pas assez oxydant pour donner des carboxyliques il donnera des diols géminés, pour avoir des acides carboxyliques il faut mettre un oxydant fort comme KMnO4 concentré ou H2O2.
Sans titre.png
Sans titre.png (8.23 Kio) Vu 700 fois


QCM12

Sans titre.png
Sans titre.png (10.29 Kio) Vu 700 fois



Il y a compétition au niveau de la deuxième étape entre la substitution nucléophile et l'hydrohalogénation de l'alcène. J'aurais du préciser HBr sur alcène.

QCM17

Il suffit de rajouter une double liaison au cycle de manière à former un benzène, ce qui enlève toute compétition par rapport aux réactifs.
EX - TuT'Orga et Ex - TuT'UE15
Failure will never overtake me if my determination to succeed is strong enough
Avatar de l’utilisateur
Buddy
Carabin No Life
 
Messages: 820
Inscription: 24 Déc 2009, 10:18

Retourner vers Chimie Organique



Qui est en ligne

Utilisateurs parcourant ce forum: Aucun utilisateur enregistré et 0 invités