Le Guide pour bien débuter la LAS : Ici

Tutoriel Forum : Ici

Planning des Séances Tutorat et EB : ICI !
Errata : Séances Tutorat et EB, Annatuts, Ronéos
Centres de Téléchargement : ICI !
Réponses des Profs : ICI !
Annales : Achat, Corrections Officieuses
Annatuts : 2025-2026, Sommaire
MCC 25/26 : ICI
Candidature MMOPK : ICI
Terminale Santé : ICI

INSCRIPTIONS ATELIERS ORAUX : Ici

SUJETS EB SEMESTRE 2 : Ici

Newsletter : ICI


Concours 2009-2010


Concours 2009-2010

Messagepar pampam » 28 Déc 2010, 08:42

Hello Hello !

Petit problème au QCM 7 item 3 ...
Juste pour être sûre ... Qu'est ce qui provoque l'ouverture du cycle ? C'est l'amine qui vient réduire le dérivé acide ?
(d'ailleurs il me semble que c'est un amine primaire CH3NH2 et dans la correction vous rajoutez un amine secondaire ... donc je sais pas trop ^^)

Et est ce que quelqu'un sait comment on détermine the more acide F***@\CKIN molekioul's H ?

Merci d'avance !!
Bonne journée !
Qui s'endort avec le cul qui gratte, se réveille avec le doigt qui pue.
pampam
Carabin confirmé
 
Messages: 93
Inscription: 29 Déc 2009, 11:52

Re: Concours 2009-2010

Messagepar Buddy » 29 Déc 2010, 12:23

Bonjour,

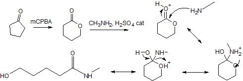
Il s'agit à la base d'un ester et non pas d'un dérivé d'acide. Ce qui provoque l'ouverture du cycle c'est toujours le même mécanisme que pour la transésterification sauf que là tu le fait avec une amine.

L'amine de départ CH3NH2 et bien primaire, au final tu as une amide secondaire.

Sans titre2.png
Sans titre2.png (7.68 Kio) Vu 712 fois


Après pour déterminer le H le plus acide c'est tout un art :lol: , personnellement, ce que je faisait c'est que je replaçais les effets inductifs en fonction de l'electronégativité des 2 atomes d'une liaison, et je mettais les delta + et delta-, après t'en trouve des plus delta + que d'autres, et je trouvais comme ça...
EX - TuT'Orga et Ex - TuT'UE15
Failure will never overtake me if my determination to succeed is strong enough
Avatar de l’utilisateur
Buddy
Carabin No Life
 
Messages: 820
Inscription: 24 Déc 2009, 10:18

Re: Concours 2009-2010

Messagepar pampam » 29 Déc 2010, 12:54

GENIALLLLLISSIME !
Merci beaucoup !

et pour les H, un peu de gruge ne fait pas de mal !

Encore merci !
Qui s'endort avec le cul qui gratte, se réveille avec le doigt qui pue.
pampam
Carabin confirmé
 
Messages: 93
Inscription: 29 Déc 2009, 11:52


Retourner vers Chimie Organique



Qui est en ligne

Utilisateurs parcourant ce forum: Aucun utilisateur enregistré et 0 invités