Le Guide pour bien débuter la LAS : Ici

Tutoriel Forum : Ici

Planning des Séances Tutorat et EB : ICI !
Errata : Séances Tutorat et EB, Annatuts, Ronéos
Centres de Téléchargement : ICI !
Réponses des Profs : ICI !
Annales : Achat, Corrections Officieuses
Annatuts : 2025-2026, Sommaire
MCC 25/26 : ICI
Candidature MMOPK : ICI
Terminale Santé : ICI

INSCRIPTIONS ATELIERS ORAUX : Ici

SUJETS EB SEMESTRE 2 : Ici

Newsletter : ICI


hydratation de carbonyl en milieu basique


hydratation de carbonyl en milieu basique

Messagepar ideologie » 02 Jan 2011, 14:05

coucou ^^!

Si quelqu'un pouvais me faire la reaction en détail se serai chouette :D

merci d'avance.

Image
Pharmacie

Président du Tutorat Associatif de Marseille 2012/2013(TAM)
Avatar de l’utilisateur
ideologie
Carabin addicted
 
Messages: 1022
Inscription: 19 Sep 2009, 16:10

Re: hydratation de carbonyl en milieu basique

Messagepar Buddy » 02 Jan 2011, 14:33

Re :)

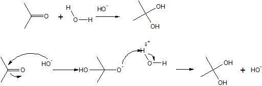
Alors voici le mécanisme de l'hydratation en milieu basique des carbonyles:
Sans titre.png
Sans titre.png (5.45 Kio) Vu 693 fois


Bon je sais c'est chiant on aurait tendance à vouloir déprotoner en alpha mais non pas dans ce cas là, on fait une AN puis O- part chercher son H+ et tu reformes ton catalyseur OH- :D

Voiloù :)
EX - TuT'Orga et Ex - TuT'UE15
Failure will never overtake me if my determination to succeed is strong enough
Avatar de l’utilisateur
Buddy
Carabin No Life
 
Messages: 820
Inscription: 24 Déc 2009, 10:18


Retourner vers Chimie Organique



Qui est en ligne

Utilisateurs parcourant ce forum: Aucun utilisateur enregistré et 0 invités