Pourrais-tu m'aider stp ?
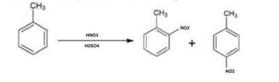
S'agit-il bien d'une Nitration du Toluène ? C'est une SE (comme la Nitration) ?
Comment appelle t-on le produit ici ?
Est-ce-que la Bromation du Toluène est également une SE ?
Comment appelle t-on le produit d'une Bromation du Toluène ?
Les profs peuvent-ils nous demander pour les réactions par exemple "c'est une activation par +I ou +M" ?


Et merci encore de prendre le temps de répondre à toutes mes questions!
