Le Guide pour bien débuter la LAS : Ici

Tutoriel Forum : Ici

Planning des Séances Tutorat et EB : ICI !
Errata : Séances Tutorat et EB, Annatuts, Ronéos
Centres de Téléchargement : ICI !
Réponses des Profs : ICI !
Annales : Achat, Corrections Officieuses
Annatuts : 2025-2026, Sommaire
MCC 25/26 : ICI
Candidature MMOPK : ICI
Terminale Santé : ICI

CORRECTION ST 4 : Ici

Newsletter : ICI


2015 • QCM 69 • Annathèmes


2015 • QCM 69 • Annathèmes

Messagepar Kirby » 24 Avr 2021, 10:46

Heyyy! :angel:

J'ai pleiiiin de question! :silly: Pourrais-tu m'aider stp ? <3

69.png

Correction : AD

1 :arrow: Dans ce QCM, c'est HBr qui joue le rôle de la base forte ?
2 :arrow: Concernant les Acylation de FC, elle peuvent se faire sur n'importe quoi en vrai (benzène, phénol, Chlorobenzène...) ?
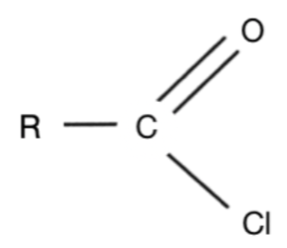
3 :arrow: Est-ce-que si il y a (cf. image si dessous), c'est forcément une Acylation ?
AA.png
AA.png (22.56 Kio) Vu 361 fois

4 :arrow: À quoi il sert, "géométriquement/moléculairement" parlant, l' Acide de Lewis ? (C'est un catalyseur, mais est ce qu'il influence "le lieu" de la substitution ?)
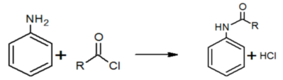
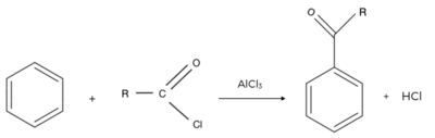
5 :arrow: Comment ça ce fait que l'Acylation peut se faire soit avec soit sans Acide de Lewis ? (cf. les deux réactions types ci-dessous)
1.png

2.png

6 :arrow: Comment cette dernière réaction est possible sans base forte ? (sans base forte la substitution devrait se faire en ortho/para selon moi.. Je me trompe ?)

Vraiment désolé pour cet énorme post et toutes ces questions. :hypnotized:
Ty 4 helping <3

:papy: Last generation PACES 2019-2021 :papy:
Avatar de l’utilisateur
Kirby
Super Carabin
 
Messages: 4246
Inscription: 21 Juil 2019, 14:49

Re: 2015 • QCM 69 • Annathèmes

Messagepar LouAnastomose » 24 Avr 2021, 15:15

Coucou :)
Pas de soucis tu me poses toutes les questions que tu veux!

1. Non HBr est un acide et non une base

2. Oui, elles se font sur un cycle alkyle

3. Je ne pense pas que toutes les réactions qui ont le chlorure d'acyle sont forcément des acylation de FC, ne retiens pas ça comme une généralité

4. Oui un acide de Lewis est un catalyseur. Les catalyseurs ont pour rôle d'accélérer une réaction sans en modifier l'équilibre de celle-ci. En soit tu peux dire qu'il influence le lieu de substitution car s'il y en a un c'est que c'est un mécanisme ionique, donc ortho/para qua plupart du temps (alors que s'il n'y en a pas et qu'il y a de la lumière ca sera radicalaire et donc différent).

5. Je pense que c'est juste un oublie. Pour moi il faut un acide de Lewis

6. Euh la je t'avoue que je sèche... la c'est une réaction "toute faite", c'est pas vraiment fait selon le tableau, alors pourquoi la il n'y a pas de base, surement parce que les réactif suffisent
Vos Bests tutrices de pharmacie<333
LouAnastomose
Tut' Pharmacie
Tut' Pharmacie
 
Messages: 530
Inscription: 12 Jan 2020, 10:41

Re: 2015 • QCM 69 • Annathèmes

Messagepar Kirby » 24 Avr 2021, 17:46

Parfait! Merciii beaucoupppp! :coeur: :worship:
Ty 4 helping <3

:papy: Last generation PACES 2019-2021 :papy:
Avatar de l’utilisateur
Kirby
Super Carabin
 
Messages: 4246
Inscription: 21 Juil 2019, 14:49


Retourner vers Chimie organique



Qui est en ligne

Utilisateurs parcourant ce forum: Aucun utilisateur enregistré et 0 invités