Salut Jane ! 
J'avoue que ce qcm n'a pas de sens !
J'ai un peu cherché vu que j'étais complètement d'accord avec toi et il se trouve que ce qcm avait été annulé
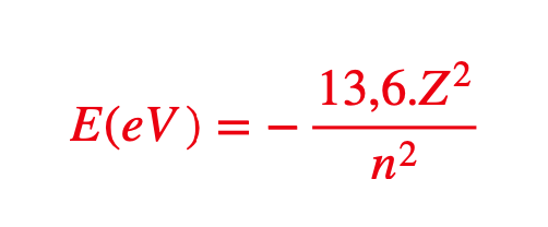
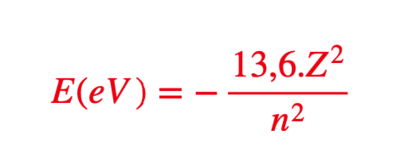
https://www.carabinsnicois.fr/phpbb/vie ... 6&t=134927En tout cas le calcul que tu as fait était le bon donc utilise toujours cette même formule que je remets ici :
Donc on aurait plutôt eu une ionisation ici mais vu que l'énoncé a un problème il vaut mieux oublier ce qcm et en rester sur ce que tu disais !
Dis-moi si c'est bon pour toi !
Ps : J'apprécie le jeu de mot

et t'as bien fait de me relancer il était passé à la trappe en même temps que l'autre
