Le Guide pour bien débuter la LAS : Ici

Tutoriel Forum : Ici

Planning des Séances Tutorat et EB : ICI !
Errata : Séances Tutorat et EB, Annatuts, Ronéos
Centres de Téléchargement : ICI !
Réponses des Profs : ICI !
Annales : Achat, Corrections Officieuses
Annatuts : 2025-2026, Sommaire
MCC 25/26 : ICI
Candidature MMOPK : ICI
Terminale Santé : ICI

INSCRIPTIONS ATELIERS ORAUX : Ici

SUJETS EB SEMESTRE 2 : Ici

Newsletter : ICI


Chimie G , avancement page 92 du livre :)


Chimie G , avancement page 92 du livre :)

Messagepar soumsoum » 04 Nov 2011, 14:17

bonjours :
-j'ai juste un problème au niveau du calcul pour retrouver la constante d'avancement , tout en sachant la valeur de K ..

-rien de bien compliqué mais surement un oublis de ma classe de terminale ... Je pensais que le cours de ce matin m'éclaircirai les choses mais nan donc je m'adresse a vous [url]ceux qui s'avent[/url] ;)

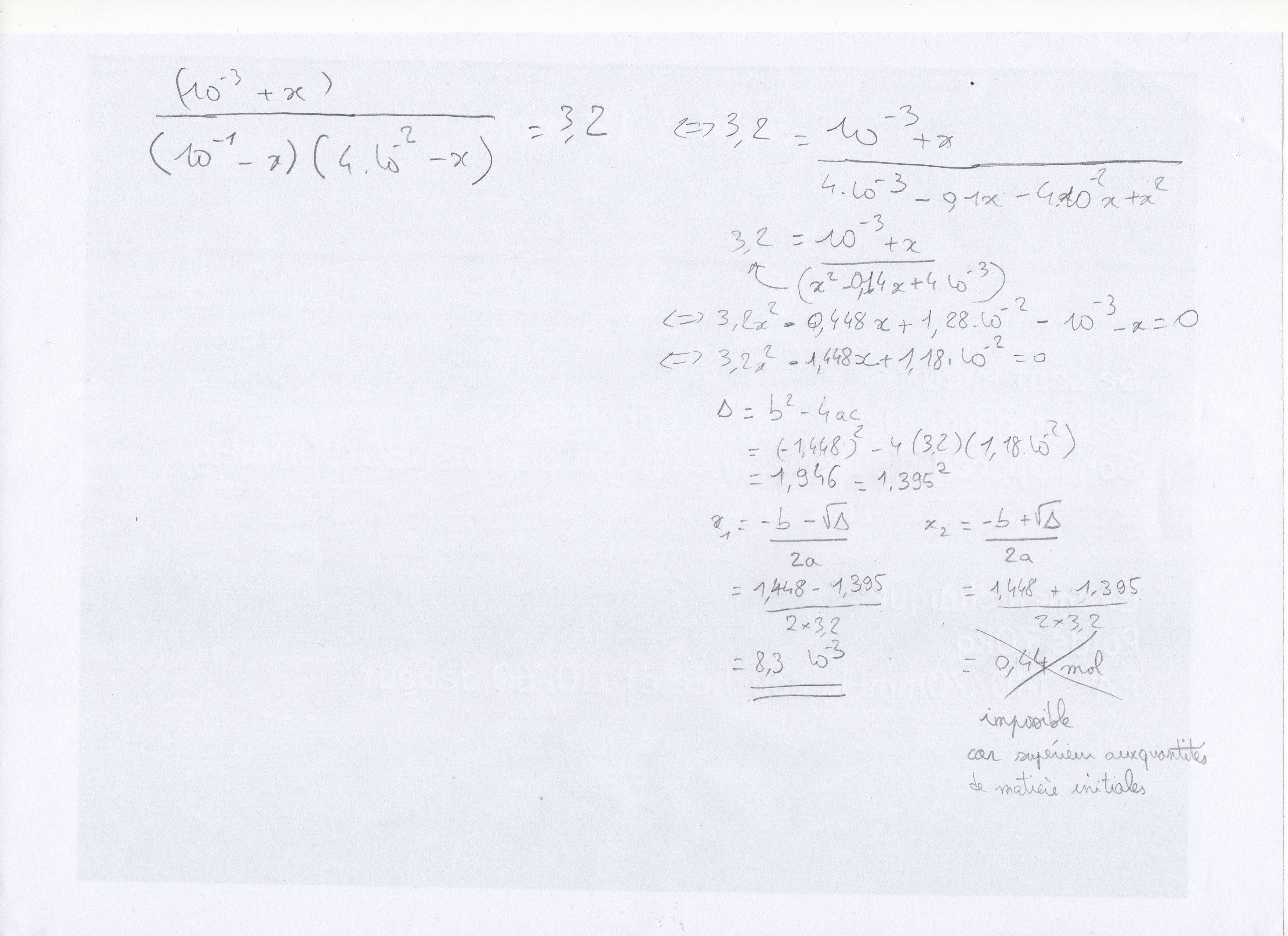
donc en gros la formule pas de soucis on passe par k a quoi on soustrait X (l'avancement) pour les réactifs et pour lequel on ajoute X pour les produits : si je prends l'exemple de la page 92 : on a
avec
a=10^-3
b=10^-1
c=4 x 10^-2
avec X l'avancement on a k= a+X / (b-X)(c-X) = 3,2
et a partir de la il faut retrouver X et on aura la constante d'avancement mais là est mon problème .. Ce matin il a dis qu'il fallait passer par l'équation du second degrés et on prend la solution positive , donc je suppose qu'on développe en bas et qu'on isole mais je pars loin du concept fin voila si vous pouvez m'aidez ça serait cool :)

merci bien :) !!
soumsoum
Carabin newbie
 
Messages: 8
Inscription: 07 Oct 2010, 17:43

Re: Chimie G , avancement page 92 du livre :)

Messagepar Ludi » 04 Nov 2011, 19:17

Je rejoins cette discussion... même problème et en plus je ne suis pas douée en maths ^^ donc après toutes les possibilités de calculs (même celles inimaginables :mrgreen: ) je m'en sors pas lol et même en tentant de calculer le delta je ne trouve pas le résultat du prof donc si un tut peut (avec beaucoup de patience :lol: ) détailler le calcul ca m'aiderai beaucoup :)

Merci d'avance et merci pour votre travail impec ;)

Bises
Avatar de l’utilisateur
Ludi
Gold Carabin
 
Messages: 2583
Inscription: 23 Juil 2010, 20:01
Localisation: Sur un tapis volant

Re: Chimie G , avancement page 92 du livre :)

Messagepar jjulien » 04 Nov 2011, 20:00

img012.jpg
c'est plus simple à écrire avec papier/ crayon que sur l'ordi :)
jjulien
Tut' Chimie
 
Messages: 282
Inscription: 20 Sep 2009, 17:14

Re: Chimie G , avancement page 92 du livre :)

Messagepar Ludi » 04 Nov 2011, 23:30

ahhhh tu gères !!!! 8) :P merci beaucoup effectivement j'ai compris mon erreur en plus ^^ x1 = -b^2-√∆ ... pour moi --' xd

merci encore :)
Avatar de l’utilisateur
Ludi
Gold Carabin
 
Messages: 2583
Inscription: 23 Juil 2010, 20:01
Localisation: Sur un tapis volant

Re: Chimie G , avancement page 92 du livre :)

Messagepar soumsoum » 05 Nov 2011, 11:29

merci bien :) !!
soumsoum
Carabin newbie
 
Messages: 8
Inscription: 07 Oct 2010, 17:43


Retourner vers Chimie Générale



Qui est en ligne

Utilisateurs parcourant ce forum: Aucun utilisateur enregistré et 1 invité