Le Guide pour bien débuter la LAS : Ici

Tutoriel Forum : Ici

Planning des Séances Tutorat et EB : ICI !
Errata : Séances Tutorat et EB, Annatuts, Ronéos
Centres de Téléchargement : ICI !
Réponses des Profs : ICI !
Annales : Achat, Corrections Officieuses
Annatuts : 2025-2026, Sommaire
MCC 25/26 : ICI
Candidature MMOPK : ICI
Terminale Santé : ICI

RÉSULTATS EB 5 : Ici

Newsletter : ICI


Eq chimique


Eq chimique

Messagepar wejdene14 » 28 Aoû 2020, 20:36

Bonjour la chimie g il y'a 2 Qcm dont je ne me souviens plus de la correction détaillée (ce sont 2 Qcm que j'avais pourtant compris l'année dernière) je vous met ce que j'avais fait si vous pouviez m'expliquer merci bcppp :coeur:
Fichiers joints
image.jpg
image.jpg
wejdene14
Carabin confirmé
 
Messages: 58
Inscription: 25 Aoû 2020, 10:15
Localisation: au co learning

Re: Eq chimique

Messagepar Victorganique » 21 Sep 2020, 13:21

Salut ! :D

Sache tout d'abord qu'on ne te demandera jamais de résoudre de tête ce type de QCM. Ça relève plus des mathématiques, c'est infaisable sans calculatrice et ce sont en fait des exemples du livre du prof pour illustrer les mécanismes d'une réaction en solution gazeuse (1ère question) et d'une réaction en phase gazeuse.
Retiens que la connaissance de la valeur de la constante d'équilibre (K) permet de calculer l'avancement final d'une réaction (ξ) et de déterminer ainsi la composition du système à l'équilibre.
En gros :K --> ξ --> compo du système à l'équilibre.

:arrow: QCM 1 :

éq chim dév.jpg

0 : On est ici dans le cas d'une réaction en phase aqueuse. On doit donc utiliser les concentrations. K est en fait un produit des activités des espèces, on a d'ailleurs α (espèce diluée en solution) = C.
Ici les concentrations sont déjà données, on ne touche à rien.
1 : On exprime K en fonction des activités (et donc des concentrations).
1 à 2 : On fait un produit en croix pour supprimer la fraction.
2 à 3 : On développe une 1ère fois.
3 à 4 : On développe une 2nde fois.
4 à 5 : On passe tout du même côté et on organise un peu tout ça (le ξ² tout seul, les ξ ensemble, et les constantes ensemble).
5 à 6 : On factorise les ξ.
6 à 7 : On fait le calcul pour les ξ et les constantes.
7 : On tombe sur une équation de degré 2, que tu as appris à résoudre en terminale. On a juste un ξ à la place du x.
8 : On calcule le discriminant Δ (avec la formule de terminale) et on trouve Δ > 0 donc l'équation a 2 solution distinctes.
9 : On calcule les 2 solutions ξ1 et ξ2 (toujours avec les formules de terminale) et on conclut que ξ2 est la solution la plus cohérente. On a donc l'avancement ξeq = 8,3x10-3 mol.

Pour déterminer la composition du système à l'équilibre, il te suffit de remplacer ξeq dans la 3ème ligne de ton tableau d'avancement par la valeur trouvée juste au dessus !


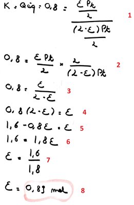
:arrow: QCM 2 :

éq chim dév 2.jpg

0 : On est ici dans le cas d'une réaction en phase gazeuse. On doit donc utiliser les pressions partielles. K est en fait un produit des activités des espèces, on a d'ailleurs α (gaz) = (n/nt)*Pt.
Ici, seules les quantités de matière sont données, il faut donc formuler les pressions partielles et c'est ce que tu as fais (encadrées en bleu) !
1 : On exprime K en fonction des activités (et donc des pressions partielles).
1 à 2 : On multiplie par l'inverse pour supprimer l'énorme fraction.
2 à 3 : On simplifie par 2 et par Pt.
3 à 4 : On fait un produit en croix pour supprimer la fraction.
4 à 5 : On développe.
5 à 6 : On passe tout du même côté et on organise un peu tout ça (les ξ ensemble, et la constante toute seule).
6 à 7 : On isole le ξ.
7 à 8 : On simplifie la fraction.
8 : On a donc l'avancement ξeq = 0,89 mol.

Pour déterminer la composition du système à l'équilibre, comme toute à l'heure, il te suffit de remplacer ξeq dans la 3ème ligne de ton tableau d'avancement par la valeur trouvée juste au dessus !


C'est plus clair pour toi ?

Bon courage ! :)
Tuteur & Ronéiste Chimie 2020-2021
Avatar de l’utilisateur
Victorganique
Tut' Chimie
Tut' Chimie
 
Messages: 396
Inscription: 24 Avr 2020, 13:31


Retourner vers DM, Annatuts & Annales



Qui est en ligne

Utilisateurs parcourant ce forum: Aucun utilisateur enregistré et 0 invités