Salut Manon !En fait je t'avoue que pour passer d'une représentation à l'autre il faut surtout bien visualiser ta molécule dans l'espace, ça te permettra de comprendre pourquoi tel ou tel atome est positionné à côté de tel autre atome...
Mais bon ça je crois que je peux pas trop te faire un tuto pour te l'apprendre

du coup je vais essayer de te faire comprendre au mieux avec mes fidèles amis les schémas
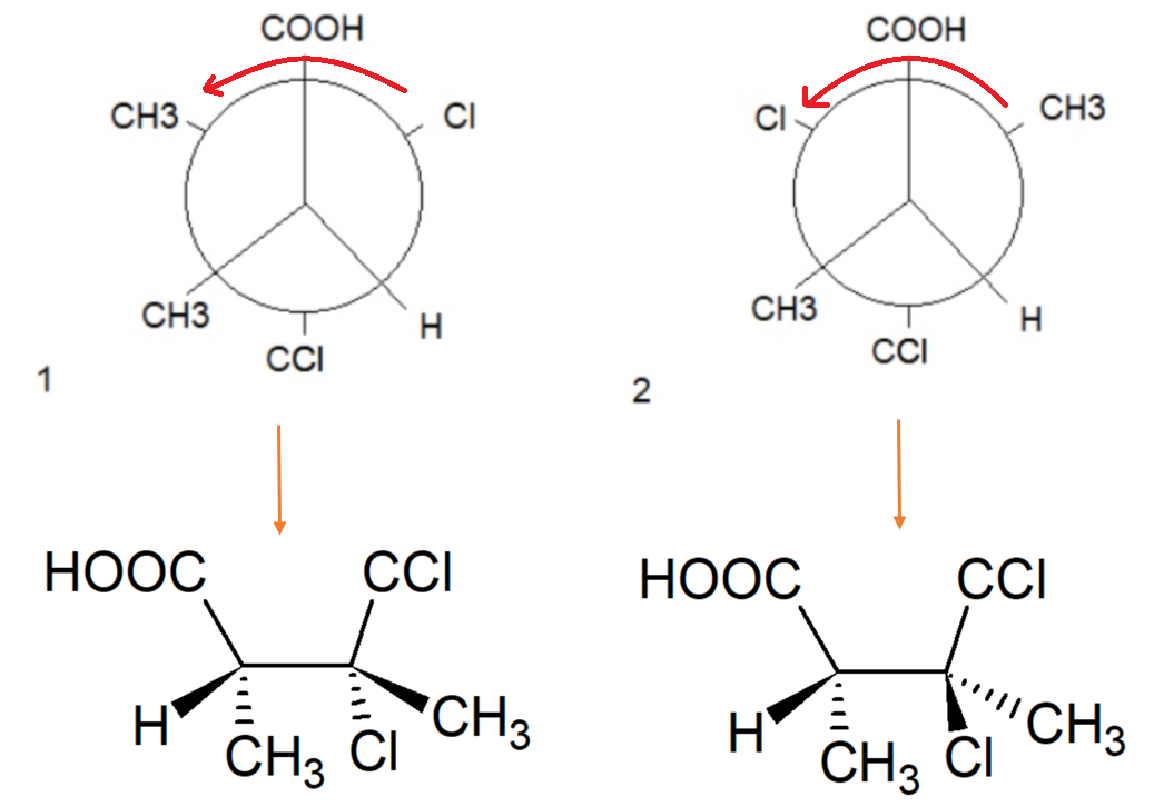
Donc déjà je pense que pour passer de Newman à Fischer il faut faire d'abord une représentation de Cram, ça te permettra de pas te perdre, mais une fois que t'auras l'habitude tu peux zapper l'étape de la représentation de Cram !
Alors en gros ce qu'il faudrait que tu fasses c'est "tourner" le carbone qui se situe à l'arrière (comme le montre la flèche rouge), de telle sorte à ce que tous les groupes qui sont représentés
horizontalement sur la molécule Fischer (
CH3, H, CH3 et Cl) se retrouvent
vers le bas et les deux groupes représentés
verticalement (
COOH et CCl) se retrouvent
vers le haut.
Dans l'exemple que tu as donné, on obtient ça:
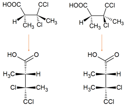
Et après pour passer de Cram à Fischer

tu fais comme si tu plaçais ton oeil
sous la molécule (tu la regardes par le dessous).
Les groupements placés
en bas sur la représentation de Cram seront donc les
horizontaux et ceux représentés
en haut seront les deux
verticaux ! (oupsi j'me répète mais regarde) :
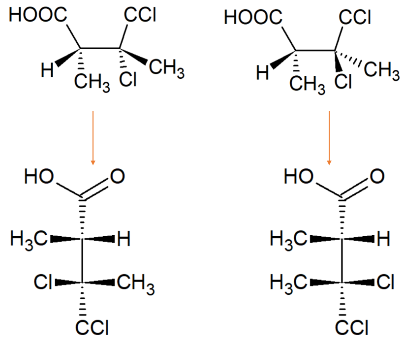
Et du coup si tu regardes par en bas tu vois bien que tous les groupements horizontaux sont vers toi en représentation de Fischer (d'où les triangles pleins que j'ai mis) et les groupements verticaux sont en arrière (d'où les triangles en pointillés)Et si tu regardes ta représentation de Cram qu'on a fait avant celle de Fischer, pour la molécule 2, les deux CH
3 sont du même côté alors que pour la molécule 1 il y en a un vers l'avant et l'autre vers l'arrière. Du coup la représentation de Fischer que t'as correspond forcément à la molécule 1.
C'est très long haha, mais j'espère que c'est clair ! Bisous
