J'ai une petite question, pourrais tu m'aider stp?
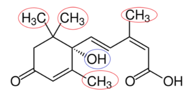
Pourquoi le carbone de la fonction acide n'est pas compté parmi les carbones primaires ?
C) L’acide abscissique possède exactement 4 carbones primaires = Vrai
Ty 4 helping


Last generation PACES 2019-2021




Last generation PACES 2019-2021
Retourner vers DM, Annatuts & Annales
Utilisateurs parcourant ce forum: Aucun utilisateur enregistré et 1 invité