Le Guide pour bien débuter la LAS : Ici

Tutoriel Forum : Ici

Planning des Séances Tutorat et EB : ICI !
Errata : Séances Tutorat et EB, Annatuts, Ronéos
Centres de Téléchargement : ICI !
Réponses des Profs : ICI !
Annales : Achat, Corrections Officieuses
Annatuts : 2025-2026, Sommaire
MCC 25/26 : ICI
Candidature MMOPK : ICI
Terminale Santé : ICI

INSCRIPTIONS ATELIERS ORAUX : Ici

SUJETS EB SEMESTRE 2 : Ici

Newsletter : ICI


réactivité carbonyle


réactivité carbonyle

Messagepar max.l » 20 Oct 2011, 11:51

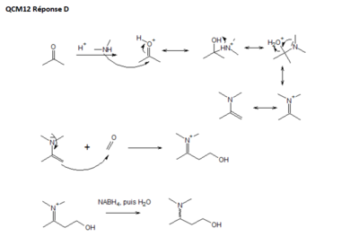
Bonjour bonjour, j'ai un petit pb pr le QCM 12 du concours de l'an passé, CH3 \ // CH2
la première etape me parait évidente mais pour la seconde je vois pas trop comment vont réagir le produit formé N ~ C et C=O..
CH3 / \ CH3

En espérant que la formule soit à peu près claire..
max.l
Carabin confirmé
 
Messages: 78
Inscription: 20 Sep 2011, 17:18

Re: réactivité carbonyle

Messagepar max.l » 20 Oct 2011, 14:16

oula ma molécule est illisible, je vais tenter de la refaire..

. .CH3
\. ./
.N ~C. .+ H2C=O
/ .\\
. .CH2
max.l
Carabin confirmé
 
Messages: 78
Inscription: 20 Sep 2011, 17:18

Re: réactivité carbonyle

Messagepar Buddy » 21 Oct 2011, 16:16

j'arrive pas a voir de quelle molécule il s'agit, pourrais-tu insérer une image paint pour que je puisse te répondre.

Merci
EX - TuT'Orga et Ex - TuT'UE15
Failure will never overtake me if my determination to succeed is strong enough
Avatar de l’utilisateur
Buddy
Carabin No Life
 
Messages: 820
Inscription: 24 Déc 2009, 10:18

Re: réactivité carbonyle

Messagepar max.l » 22 Oct 2011, 10:25

Ouais ca va etre dur parce que paint j'ai pas ;) mais peut importe la molécule (que tu peux avoir en prenant ton concours de l'an dernier QCM12 deuxième étape de la transformation) , je voudrai juste savoir comment réagit une double liaison C=C avec un H2C=O.. Intuitivement je dirais C-C-C-O(-) mais j'en suis pas sur donc..
max.l
Carabin confirmé
 
Messages: 78
Inscription: 20 Sep 2011, 17:18

Re: réactivité carbonyle

Messagepar Buddy » 22 Oct 2011, 10:56

Bonjour,

Alors voilà

(Sur la correction j'ai pas mis l'intermédiaire C-C-C-O- parce qu'avec l'eau tu protones cash)
Sans titre.png


Voilou :D
ps: ce n'est pas le sujet de mon concours, j'en ai juste fait la correction l'an dernier
EX - TuT'Orga et Ex - TuT'UE15
Failure will never overtake me if my determination to succeed is strong enough
Avatar de l’utilisateur
Buddy
Carabin No Life
 
Messages: 820
Inscription: 24 Déc 2009, 10:18

Re: réactivité carbonyle

Messagepar max.l » 22 Oct 2011, 11:25

merci
max.l
Carabin confirmé
 
Messages: 78
Inscription: 20 Sep 2011, 17:18


Retourner vers Chimie Organique



Qui est en ligne

Utilisateurs parcourant ce forum: Aucun utilisateur enregistré et 1 invité