Le Guide pour bien débuter la LAS : Ici

Tutoriel Forum : Ici

Planning des Séances Tutorat et EB : ICI !
Errata : Séances Tutorat et EB, Annatuts, Ronéos
Centres de Téléchargement : ICI !
Réponses des Profs : ICI !
Annales : Achat, Corrections Officieuses
Annatuts : 2025-2026, Sommaire
MCC 25/26 : ICI
Candidature MMOPK : ICI
Terminale Santé : ICI

INSCRIPTIONS ATELIERS ORAUX : Ici

SUJETS EB SEMESTRE 2 : Ici

Newsletter : ICI


DM Noël QCM 2


DM Noël QCM 2

Messagepar AIex » 12 Déc 2011, 20:14

Bonsoir, c'est encore moi ! ^^

1) Est-ce que quelqu'un pourrait m'expliquer ce qu'on fait à la 2e étape du QCM 2 avec juste du KMnO4 concentré ? Et est-ce normal du coup qu'il manque un carbone juste après cette réaction ?

2) Pareil pour le dernier réactif : EtO-, j'aurais eu tendance à faire une E2, mais apparemment c'est pas ça. Est-ce qu'il y a un lien avec les doublets d'électrons ?

Merci ! :)
Avatar de l’utilisateur
AIex
Apprenti Carabin
 
Messages: 175
Inscription: 12 Sep 2011, 14:29

Re: DM Noël QCM 2

Messagepar WatiGG » 12 Déc 2011, 22:54

Plop !

1) L'ajout de KMnO4 concentré induit la formation d'acide carboxyllique ou de cétone, selon si on a 1 ou 2 carbones après la double liaison, par coupure oxydante directe.
En général on rajoute de l'acide et/ou du chauffage pour bien montrer qu'on a des conditions violentes, mais ici je pense que le but est de bien souligner faire la différence entre KMnO4 dilué (qui donne des diols vicinaux) et KMnO4 concentré (qui donne des acides / cétones)!

2) Pour la tosylation… c'est (à mon goût) un peu compliqué et je vais essayer de te l'expliquer du mieux que je peux :
L'ajout de TsCl provoque la formation d'un ester (le Ts est un acide sulfonique) qu'on représente par R-O-Ts.
Les tosylates (toluènesulfonates) sont sensibles aux attaques nucléophiles et aux éliminations (Wiki)
=> Le but c'est de rendre bon groupe partant un alcool (qui est à la base mauvais partant)
Donc pourquoi pas une attaque du nucléophile EtO-… ^^

Je te rassure c'est un exo qui est sûrement volontairement très dur pour préparer au cas où le prof soit vraiment de mauvaise humeur :lol:
Tuteur de chimie orga 2012-2013 retraité
VP G33K et VP Communication
BDE Médecine Nice 2013-2014

π-Carabins

Cliquez pour vous détendre.
Avatar de l’utilisateur
WatiGG
Administrateur
Administrateur
 
Messages: 1356
Inscription: 13 Sep 2010, 19:33

Re: DM Noël QCM 2

Messagepar AIex » 12 Déc 2011, 23:21

WatiGG a écrit:Plop !

1) L'ajout de KMnO4 concentré induit la formation d'acide carboxyllique ou de cétone, selon si on a 1 ou 2 carbones après la double liaison, par coupure oxydante directe.
En général on rajoute de l'acide et/ou du chauffage pour bien montrer qu'on a des conditions violentes, mais ici je pense que le but est de bien souligner faire la différence entre KMnO4 dilué (qui donne des diols vicinaux) et KMnO4 concentré (qui donne des acides / cétones)!

Ah ok, je pensais que chauffage + catalyse acide étaient obligatoires pour ce genre de réaction ! Dans ce cas, il manque l'acide acétique dans la séquence alors !

2) Pour la tosylation… c'est (à mon goût) un peu compliqué et je vais essayer de te l'expliquer du mieux que je peux :
L'ajout de TsCl provoque la formation d'un ester (le Ts est un acide sulfonique) qu'on représente par R-O-Ts.
Les tosylates (toluènesulfonates) sont sensibles aux attaques nucléophiles et aux éliminations (Wiki)
=> Le but c'est de rendre bon groupe partant un alcool (qui est à la base mauvais partant)
Donc pourquoi pas une attaque du nucléophile EtO-… ^^

Je vois où je bugais en fait, je pensais que vu qu'on obtient 2 alcools à la réaction juste avant, l'un attaquait l'autre ou je ne sais quoi (bref n'importe quoi), et pour embrouiller un peu plus, EtO- a aussi (presque) la même gueule que ces derniers donc je crois que j'ai fais un gros mix. Merci beaucoup en tout cas ! D'ailleurs, TsCl = Tosyl ? Ou on s'en fout vu que de toute façon, tant que c'est un sulfonate ...

Je te rassure c'est un exo qui est sûrement volontairement très dur pour préparer au cas où le prof soit vraiment de mauvaise humeur :lol:


Personnellement, il m'a l'air toujours très relax comme prof, mais de toute façon cette année, je pense qu'il va mettre le paquet en effet. :twisted:

Par la même occasion, je viens de capter que j'ai dû mal à identifier les SN intramoléculaires. Est-ce que tu te sens capable de m'expliquer quand est-ce qu'elle se font càd qui attaque de préférence dans quel contexte, si c'est toujours des SN2 ou si ça peut aussi concerner les SN1 ... Merci beaucoup !
Avatar de l’utilisateur
AIex
Apprenti Carabin
 
Messages: 175
Inscription: 12 Sep 2011, 14:29

Re: DM Noël QCM 2

Messagepar WatiGG » 13 Déc 2011, 09:33

Re !

TsCl c'est la chlorure do tosyle, il en existe aussi une version bromure … enfin c'est pas important.
En fait le sulfo(chlor?)ate va substituer le chlore par l'alcool et on libère HCl dans le milieu pour former le sulfonate.

Pour les SN intramoléculaires… Là aussi c'est "un peu vache" d'en mettre au beau milieu d'une chaîne réactionnelle, s'il y en à ça sera soit fort explicite soit en fin de chaîne (genre tu as un produit final, et là tu te demande si ce produit final peut pas prendre une autre forme par SN intramoléculaire).

L'exemple typique de SN2 intramoléculaire, c'est quand tu as un alcool et un halogène sur une même molécule, et que tu fais simplement un ajout de base forte non nucléophile (tBuO- ou H- ). Ca va activer l'alcool en alcoolate, et ce dernier très nucléophile va pouvoir attaquer le carbone électrophile de l'halogène, qui est de toute façon un bon groupe partant. Evidemment il faut que le cycle formé soit stable, sinon aucun intérêt !

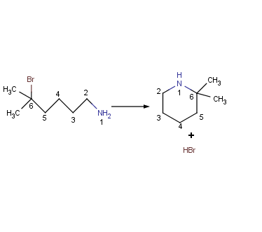
Pour les SN1, c'est aussi fort possible qu'il y en ait. Voilà un exemple… (j'espère qu'il est bon, de bon matin comme ça là…)

Image 1.png
Tuteur de chimie orga 2012-2013 retraité
VP G33K et VP Communication
BDE Médecine Nice 2013-2014

π-Carabins

Cliquez pour vous détendre.
Avatar de l’utilisateur
WatiGG
Administrateur
Administrateur
 
Messages: 1356
Inscription: 13 Sep 2010, 19:33

Re: DM Noël QCM 2

Messagepar AIex » 13 Déc 2011, 20:27

Merci beaucoup WatiGG ! Je crois que j'ai saisi maintenant ! :D
Avatar de l’utilisateur
AIex
Apprenti Carabin
 
Messages: 175
Inscription: 12 Sep 2011, 14:29

Re: DM Noël QCM 2

Messagepar ♣WAJDI♣ » 13 Déc 2011, 21:00

Salut,

alors je ne sais pas si je dis n'importe quoi mais j'ai du mal à comprendre l'exemple de WatiGG :mrgreen:

Alors voilà ce que je propose, une explication serait la bienvenue ? :)

ps : la numérotation proposée n'est pas nécessairement celle de la nomenclature, elle est là uniquement pour ne pas se tromper dans les substituants. :D
Fichiers joints
SN1 intra.png
SN1 intra.png (6.07 Kio) Vu 1088 fois
Tuteur UE12s 2012-2013

Rien n'égale la timidité de l'ignorance, si ce n'est sa témérité. Quand l'ignorance se met à oser, c'est qu'elle a en elle une boussole. Cette boussole, c'est l'intuition du vrai, plus claire parfois dans un esprit simple que dans un esprit compliqué. - Victor Hugo
Image
Avatar de l’utilisateur
♣WAJDI♣
Carabin addicted
 
Messages: 1445
Inscription: 28 Aoû 2010, 18:21

Re: DM Noël QCM 2

Messagepar WatiGG » 13 Déc 2011, 22:21

+1 trivisteamis, mon exemple est pas bon ! Le tien est bien juste par contre :D !!
Tuteur de chimie orga 2012-2013 retraité
VP G33K et VP Communication
BDE Médecine Nice 2013-2014

π-Carabins

Cliquez pour vous détendre.
Avatar de l’utilisateur
WatiGG
Administrateur
Administrateur
 
Messages: 1356
Inscription: 13 Sep 2010, 19:33

Re: DM Noël QCM 2

Messagepar ♣WAJDI♣ » 13 Déc 2011, 22:48

WatiGG a écrit:+1 trivisteamis, mon exemple est pas bon ! Le tien est bien juste par contre :D !!


J'avoue que faire de l'orga de bon matin c'est pas tiptop ... si LX ou Buddy passaient par là, je vais me faire éclater je le sens ! :mrgreen:
En tout cas tu as très bien expliqué et c'est l'essentiel, allez @+ :D
Tuteur UE12s 2012-2013

Rien n'égale la timidité de l'ignorance, si ce n'est sa témérité. Quand l'ignorance se met à oser, c'est qu'elle a en elle une boussole. Cette boussole, c'est l'intuition du vrai, plus claire parfois dans un esprit simple que dans un esprit compliqué. - Victor Hugo
Image
Avatar de l’utilisateur
♣WAJDI♣
Carabin addicted
 
Messages: 1445
Inscription: 28 Aoû 2010, 18:21

Re: DM Noël QCM 2

Messagepar Buddy » 13 Déc 2011, 23:17

♣trivisteamis♣ a écrit:J'avoue que faire de l'orga de bon matin c'est pas tiptop ... si LX ou Buddy passaient par là, je vais me faire éclater je le sens ! :mrgreen:


Voilà je t'éclate :lol:
BG les gars merci :wink: Bossez bien!!!!

Puis l'orga ça se fait la nuit ou en pause X)
EX - TuT'Orga et Ex - TuT'UE15
Failure will never overtake me if my determination to succeed is strong enough
Avatar de l’utilisateur
Buddy
Carabin No Life
 
Messages: 820
Inscription: 24 Déc 2009, 10:18


Retourner vers Chimie Organique



Qui est en ligne

Utilisateurs parcourant ce forum: Aucun utilisateur enregistré et 1 invité